Open Access
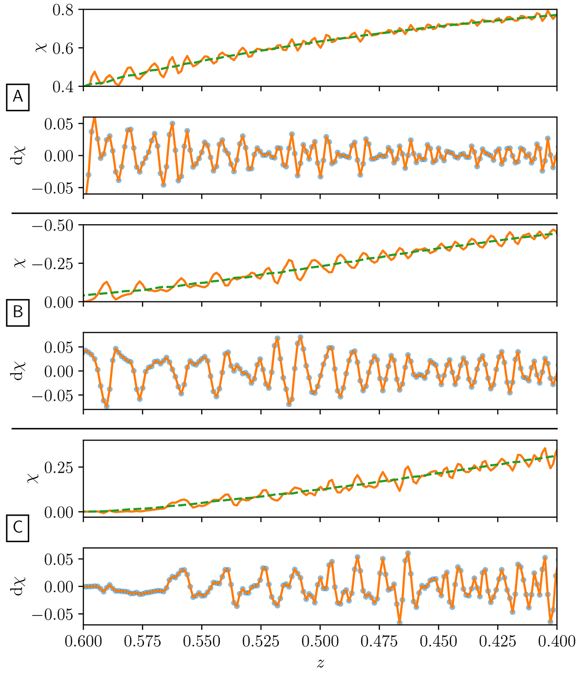
Fig. 17.

Download original image
Field value χ in model III sampled from a single lattice point as a function of redshift z for the sites labelled A-C, shown in Fig. 16. The rows labelled dχ are the instantaneous field value χ subtracted the average of the field over the interval ±dτ/2 = ±0.016 Mpc h−1.
Current usage metrics show cumulative count of Article Views (full-text article views including HTML views, PDF and ePub downloads, according to the available data) and Abstracts Views on Vision4Press platform.
Data correspond to usage on the plateform after 2015. The current usage metrics is available 48-96 hours after online publication and is updated daily on week days.
Initial download of the metrics may take a while.