Fig. 20.

Download original image
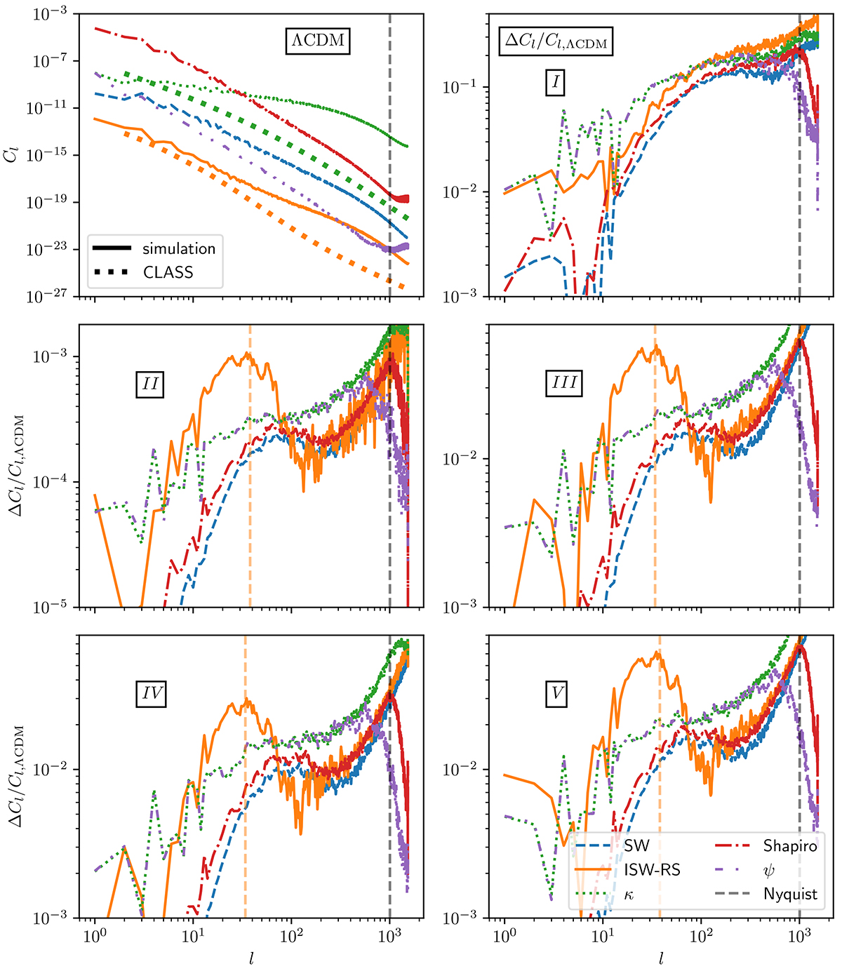
Secondary light propagation effects in the full-sky light cone of an observer at redshift z = 0 located at the origin position x0 = (0, 0, 0) Mpc h−1. The source field is located at redshift z = 0.0835. Top left: angular power spectra of the ΛCDM simulation shown as thin lines. The thick dotted line shows the CLASS estimate, which is only available for the ISW, convergence, and lensing potential. Top right to bottom right: relative angular power spectra with respect to ΛCDM for the simulations of models I–V. The meaning of the labels in the legend is SW: Ordinary Sachs-Wolfe effect. ISW-RS: integrated Sachs-Wolfe and non-linear Rees-Sciama effect. κ: convergence field. Shapiro: Shapiro time delay. ψ: lensing potential.
Current usage metrics show cumulative count of Article Views (full-text article views including HTML views, PDF and ePub downloads, according to the available data) and Abstracts Views on Vision4Press platform.
Data correspond to usage on the plateform after 2015. The current usage metrics is available 48-96 hours after online publication and is updated daily on week days.
Initial download of the metrics may take a while.