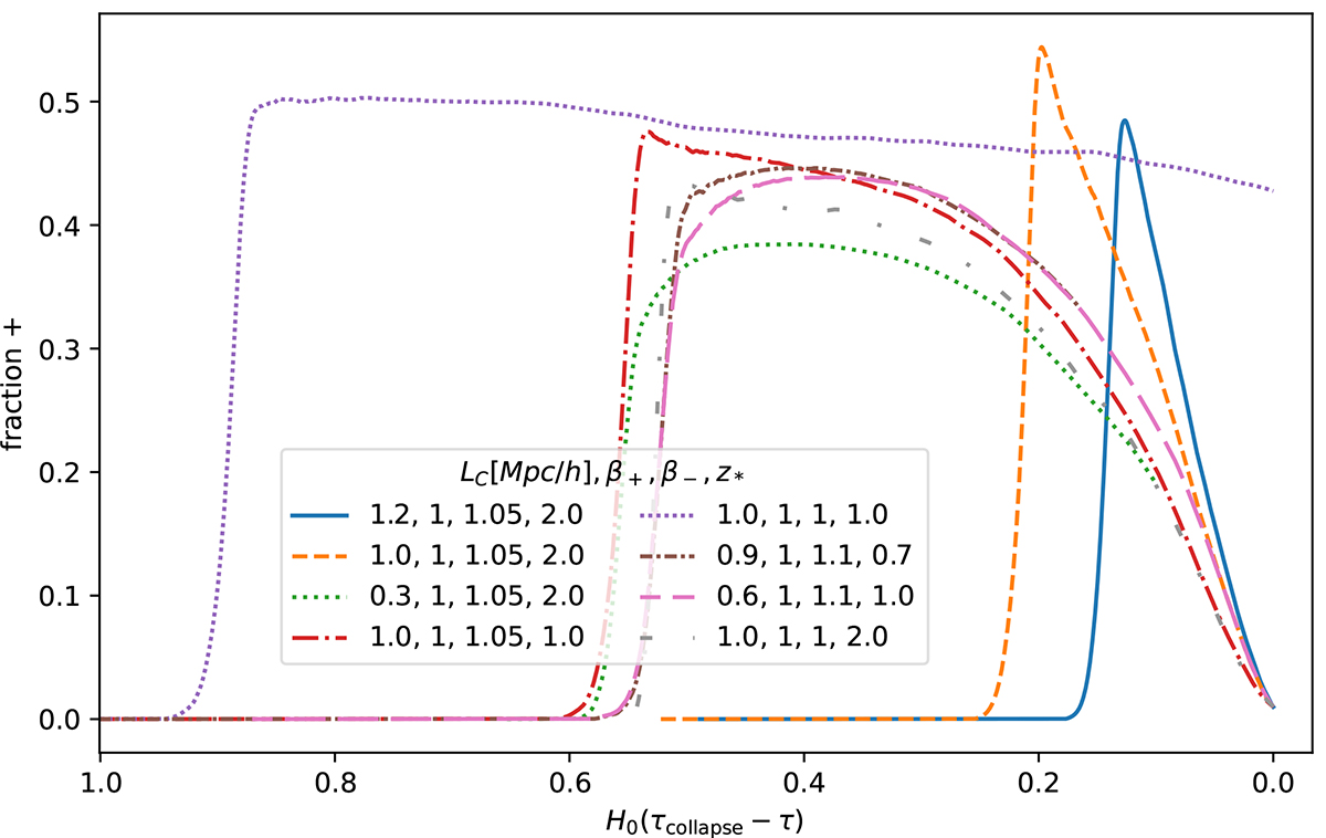
Fig. A.2.

Download original image
Fraction of the simulation volume with the scalar field in the positive minimum as a function of conformal time before collapse (normalised by the Hubble scale) for a range of (a)symmetron parameters. In the case of no collapse (densely dotted purple), it is instead plotted against the conformal time until the end of the simulation z = 0.
Current usage metrics show cumulative count of Article Views (full-text article views including HTML views, PDF and ePub downloads, according to the available data) and Abstracts Views on Vision4Press platform.
Data correspond to usage on the plateform after 2015. The current usage metrics is available 48-96 hours after online publication and is updated daily on week days.
Initial download of the metrics may take a while.