Open Access
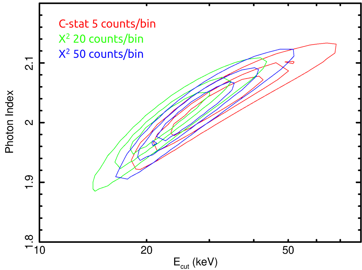
Fig. B.1.

Download original image
Contour plots of high energy cutoff vs. photon index for different binning schemes and statistics adopted. In red, the results from a fit performed with 𝒞−stat on spectra binned to 5 counts per bin, and in blue (green) from a fit performed with χ2 on spectra binned to 20 (50) counts per bin.
Current usage metrics show cumulative count of Article Views (full-text article views including HTML views, PDF and ePub downloads, according to the available data) and Abstracts Views on Vision4Press platform.
Data correspond to usage on the plateform after 2015. The current usage metrics is available 48-96 hours after online publication and is updated daily on week days.
Initial download of the metrics may take a while.