Fig. 3.

Download original image
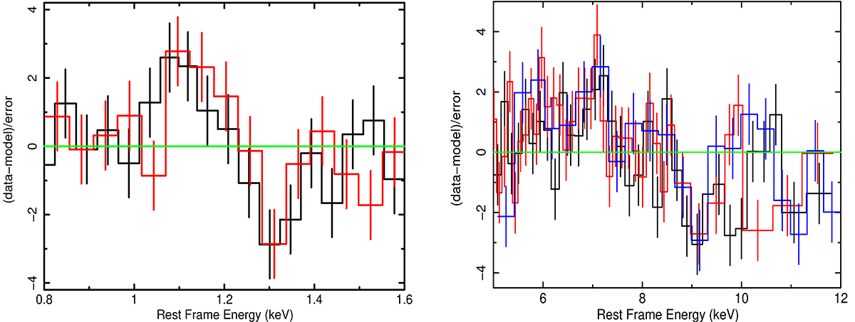
Confidence contours showing deviations from the continuum model described in Sect. 4.1 in the soft (left) and hard (right) band. Black contours show Δ𝒞 = +0.5 while the colored contours show Δ𝒞 = −2.3 (cyan), −4.61 (blue), −9.21 (green), −13.82 (red), −18.42 (magenta), corresponding to a significance of 68%, 90%, 99%, 99.9%, and 99.99% for two parameters. In both panels, the main transitions from ionized Ne and Fe are labeled at their rest-frame energies.
Current usage metrics show cumulative count of Article Views (full-text article views including HTML views, PDF and ePub downloads, according to the available data) and Abstracts Views on Vision4Press platform.
Data correspond to usage on the plateform after 2015. The current usage metrics is available 48-96 hours after online publication and is updated daily on week days.
Initial download of the metrics may take a while.