Open Access
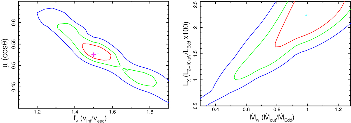
Fig. 8.

Download original image
Confidence contour levels of the DISK-WIND parameters fv vs. μ (left) and vs. ℒX (right), see subsection 6.2 for their definitions. The
vs. ℒX contours are obtained by fixing fv and μ to their closest grid points (marked with the magenta cross) to avoid interpolation issues.
Current usage metrics show cumulative count of Article Views (full-text article views including HTML views, PDF and ePub downloads, according to the available data) and Abstracts Views on Vision4Press platform.
Data correspond to usage on the plateform after 2015. The current usage metrics is available 48-96 hours after online publication and is updated daily on week days.
Initial download of the metrics may take a while.