Open Access

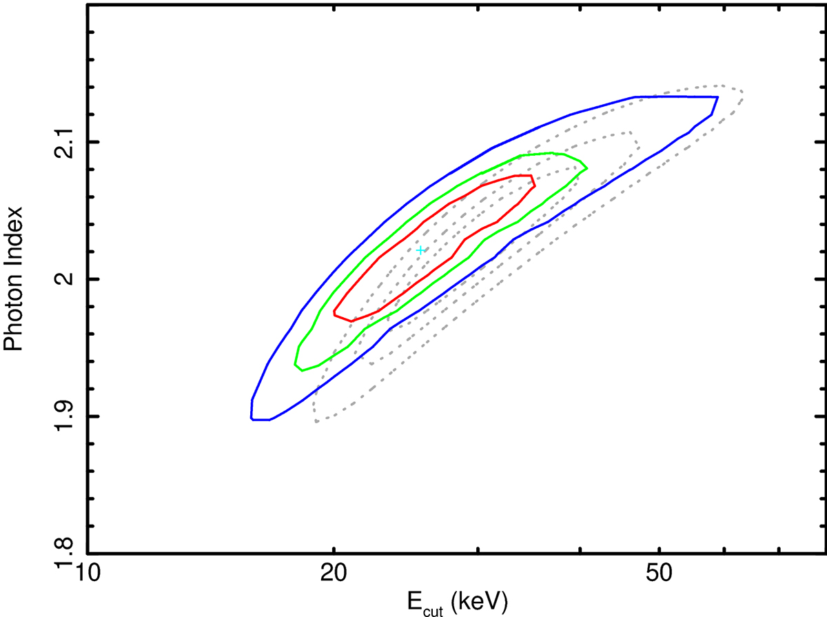
Fig. 9.

image

Download original image

Confidence contour levels of the high energy cutoff vs. the photon index. The colored contours refer to the best-fit model with two UFO XSTAR absorption tables, described in Sect. 6.1, while the gray contours show the results from the continuum model only, described in Sect. 4.1.

Current usage metrics show cumulative count of Article Views (full-text article views including HTML views, PDF and ePub downloads, according to the available data) and Abstracts Views on Vision4Press platform.

Data correspond to usage on the plateform after 2015. The current usage metrics is available 48-96 hours after online publication and is updated daily on week days.

Initial download of the metrics may take a while.