Fig. 8

Download original image
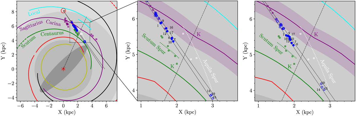
RRL clumps on the Galactic plane. Left panel: projected locations of RRL clumps on the Galactic plane, with SAs labeled in different colors. Squares indicate maser sources with VLBI parallaxes, circles RRL clumps with distances estimated from the Bayesian distance calculator provided (Reid et al. 2016), and filled circles RRL clumps located in off-arm regions. The two dashed black lines denote the Galactic longitude range of RRL clumps. Middle panel: zoomed-in view of the region marked by the dashed rectangle in the left panel. Numbers label RRL clumps located on the off-arm and Aquila spur. “K” denotes the kink position on the arm. The filled pink area of the Sagittarius-Carina arm denotes the arm width determined from the BeSSeL survey (Reid et al. 2019). Right panel: same as the middle panel, but the distances are estimated using the kinematics distance code (Wenger et al. 2018).
Current usage metrics show cumulative count of Article Views (full-text article views including HTML views, PDF and ePub downloads, according to the available data) and Abstracts Views on Vision4Press platform.
Data correspond to usage on the plateform after 2015. The current usage metrics is available 48-96 hours after online publication and is updated daily on week days.
Initial download of the metrics may take a while.