Open Access
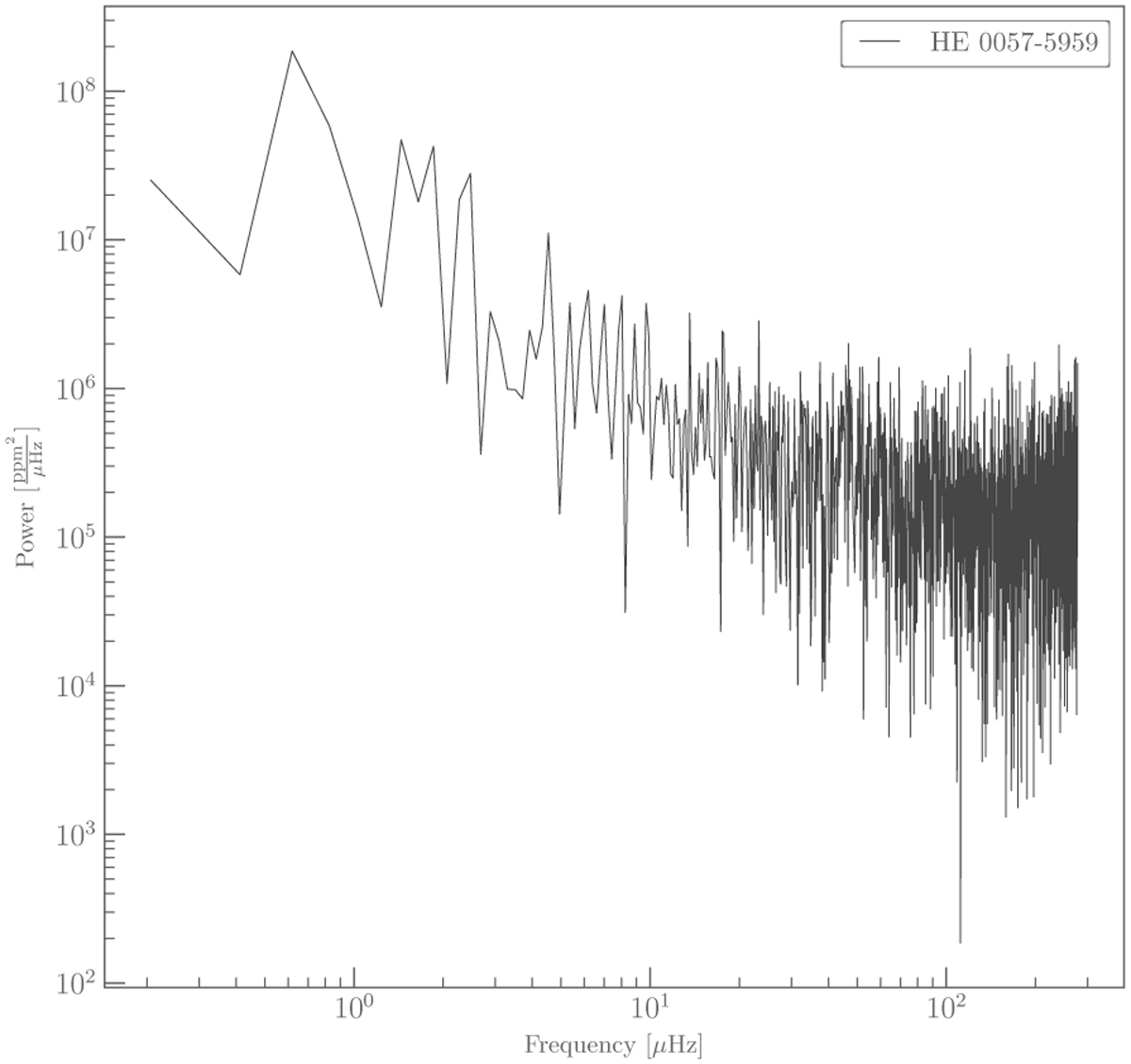
Fig. A.1

Download original image
Power spectral density for HE 0057-5959 based on TESS observations during Sector 1 and 2. The light curve from which we obtain the power spectral density is provided by the TESS Asteroseis- mic Science Operations Center (TASOC; Handberg et al. 2021; Lund et al. 2021). We find no evidence of solar-like oscillations.
Current usage metrics show cumulative count of Article Views (full-text article views including HTML views, PDF and ePub downloads, according to the available data) and Abstracts Views on Vision4Press platform.
Data correspond to usage on the plateform after 2015. The current usage metrics is available 48-96 hours after online publication and is updated daily on week days.
Initial download of the metrics may take a while.