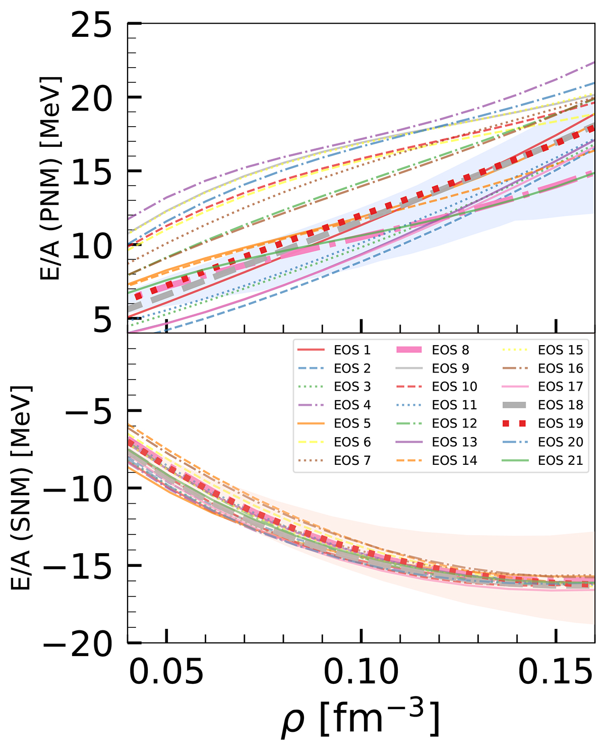
Fig. 4.

Download original image
Energy per particle as a function of the baryonic density for pure neutron matter (top) and symmetric nuclear matter (bottom). The light blue band in the top panel represents the enclosed region of several χEFT calculations taken from Huth et al. (2022), and the orange band in the bottom panel represents the region given by all calculations in Fig. 4 of Drischler et al. (2016).
Current usage metrics show cumulative count of Article Views (full-text article views including HTML views, PDF and ePub downloads, according to the available data) and Abstracts Views on Vision4Press platform.
Data correspond to usage on the plateform after 2015. The current usage metrics is available 48-96 hours after online publication and is updated daily on week days.
Initial download of the metrics may take a while.