Open Access
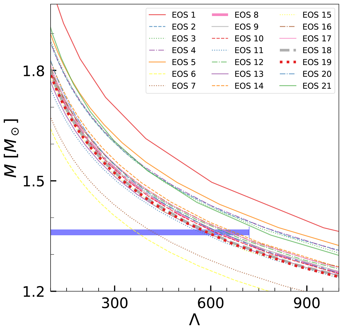
Fig. 7.

Download original image
Mass-tidal deformability relationship of NSs determined by taking into account all equations of state with a unified crust. The blue band indicates the tidal deformability for a mass ratio of q = 1 or for a NS of 1.36M⊙ that was part of the binary NS event GW170817 Abbott et al. (2018).
Current usage metrics show cumulative count of Article Views (full-text article views including HTML views, PDF and ePub downloads, according to the available data) and Abstracts Views on Vision4Press platform.
Data correspond to usage on the plateform after 2015. The current usage metrics is available 48-96 hours after online publication and is updated daily on week days.
Initial download of the metrics may take a while.