Fig. 14.

Download original image
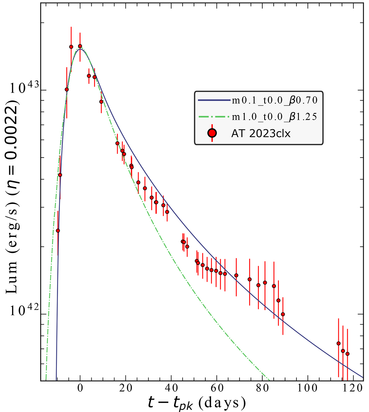
Comparison of the bolometric luminosity evolution of AT 2023clx, against mass fallback rate models of Law-Smith et al. (2020), of a 0.1 and 1.0 M⊙ ZAMS stars disrupted with an impact parameter of β = 0.7 and 1.25 (b ≃ 0.8) by a 106.0 M⊙ BH mass. The data are not normalised; in order to convert the mass fallback rate to luminosity and for the peaks to match, a radiative efficiency parameter of 2.2 × 10−3 was needed for the 0.1 M⊙ model. However, the 1.0 M⊙ model required an unrealistically low efficiency parameter of 1.5 × 10−4 in order to match the peak luminosity. The 0.1 M⊙ model and the data show an identical rise as well as a shallower decline (after the NUV break).
Current usage metrics show cumulative count of Article Views (full-text article views including HTML views, PDF and ePub downloads, according to the available data) and Abstracts Views on Vision4Press platform.
Data correspond to usage on the plateform after 2015. The current usage metrics is available 48-96 hours after online publication and is updated daily on week days.
Initial download of the metrics may take a while.