Fig. 16.

Download original image
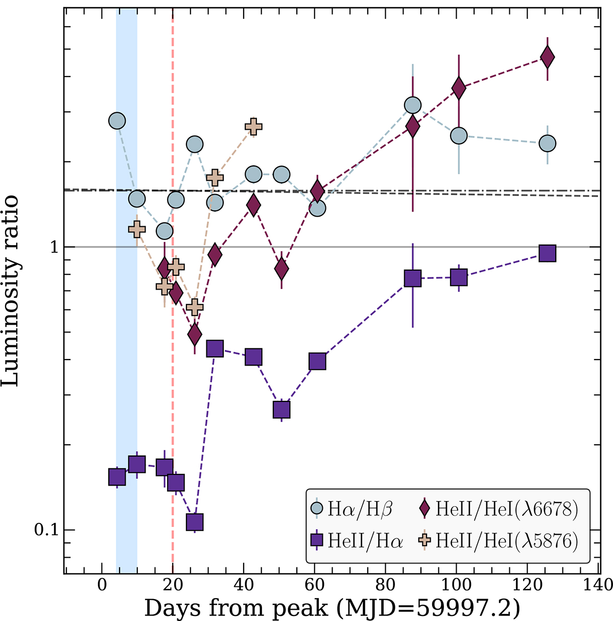
Evolution of the emission line luminosity ratios with time. The black dashed line shows a weighted linear fit (y = ax + b) to the Balmer decrement (b = 1.60 ± 0.24), while the dash-dotted one (b = 1.58 ± 0.13) is the same but with the assumption that the decrement is flat (i.e. a ≡ 0). The coloured region and vertical dashed line, are the same as in Fig. 2.
Current usage metrics show cumulative count of Article Views (full-text article views including HTML views, PDF and ePub downloads, according to the available data) and Abstracts Views on Vision4Press platform.
Data correspond to usage on the plateform after 2015. The current usage metrics is available 48-96 hours after online publication and is updated daily on week days.
Initial download of the metrics may take a while.