Open Access
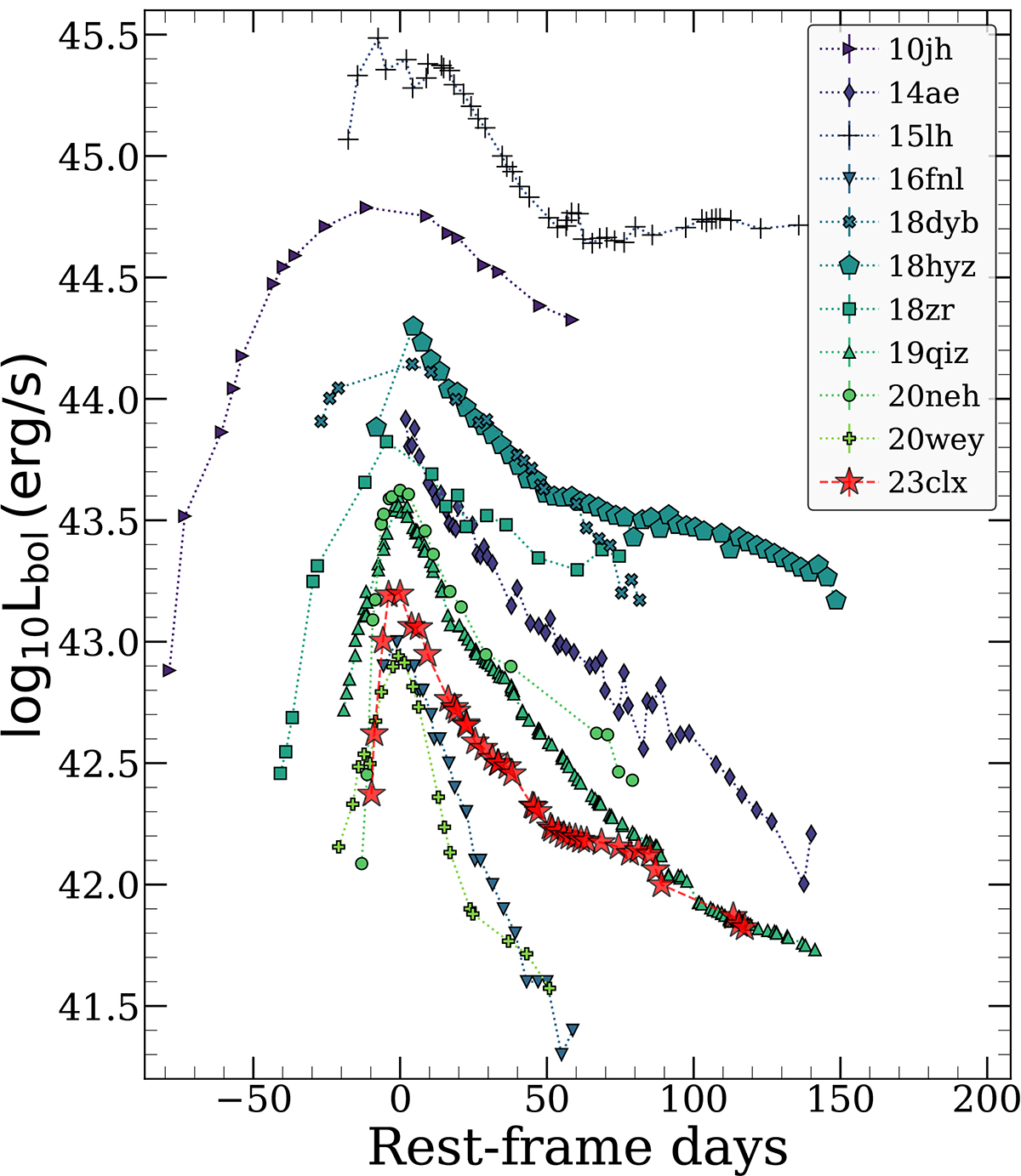
Fig. 8.

Download original image
Comparison of the bolometric light curve of AT 2023clx with other TDEs and including ASASSN-15lh in this grouping. The shape of the light curve resembles that of AT 2018hyz.
Current usage metrics show cumulative count of Article Views (full-text article views including HTML views, PDF and ePub downloads, according to the available data) and Abstracts Views on Vision4Press platform.
Data correspond to usage on the plateform after 2015. The current usage metrics is available 48-96 hours after online publication and is updated daily on week days.
Initial download of the metrics may take a while.