Fig. 6.

Download original image
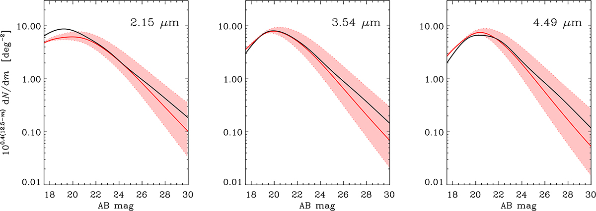
Same as Fig. 5, except at the wavelengths longward of, but adjacent to the NISP bands, which are used for refinements in αν (e.g., Fig. 2 and Sect. 5). The JWST counts are filter-transformed to either ground-based VISTA filters or Spitzer filters at the long near-IR wavelengths (S. Tompkins, R. Windhorst, private communication). HRK reconstruction is shown at the wavelengths of 2.2, 3.6, and 4.5 μm.
Current usage metrics show cumulative count of Article Views (full-text article views including HTML views, PDF and ePub downloads, according to the available data) and Abstracts Views on Vision4Press platform.
Data correspond to usage on the plateform after 2015. The current usage metrics is available 48-96 hours after online publication and is updated daily on week days.
Initial download of the metrics may take a while.