Fig. 3.

Download original image
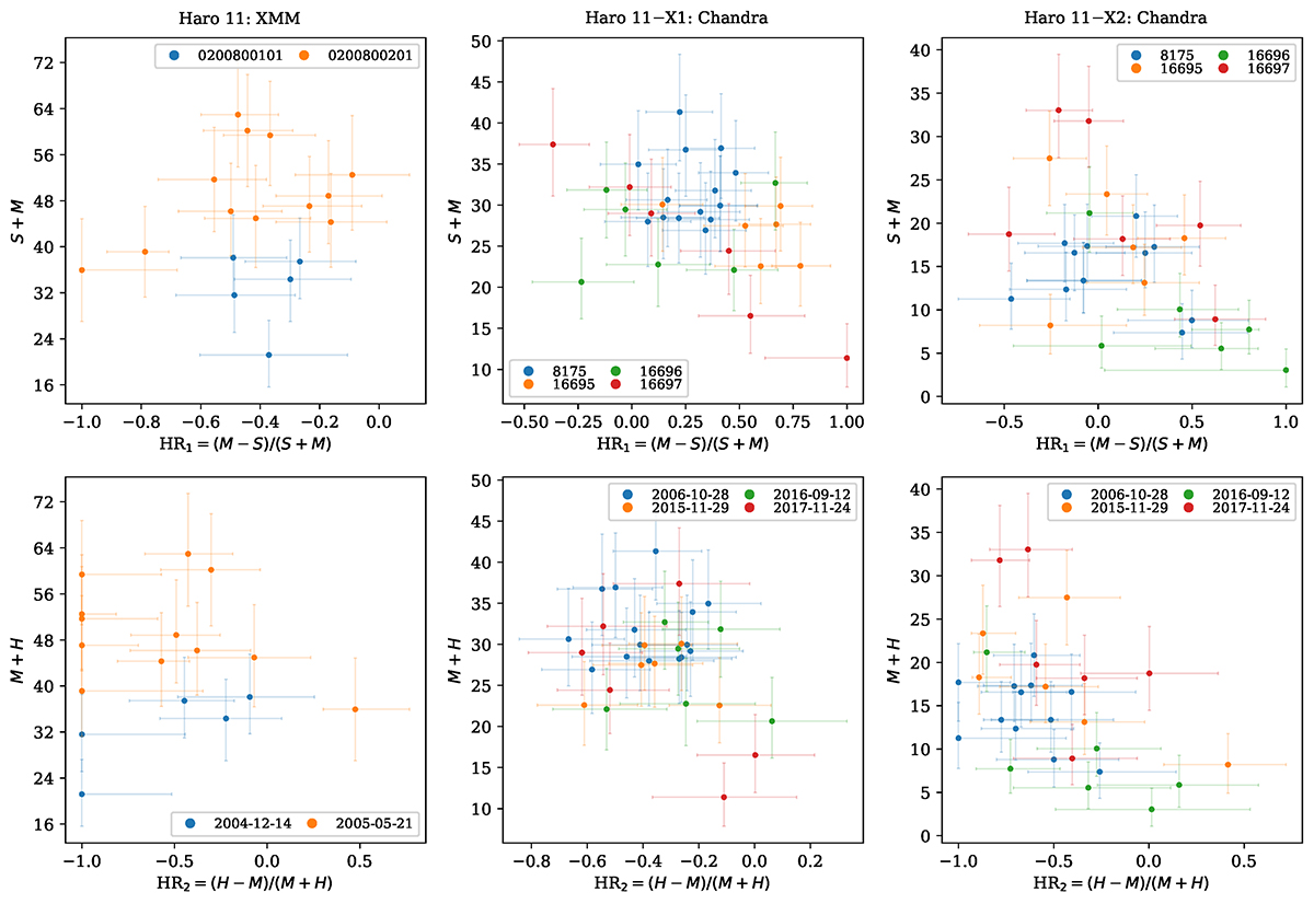
Hardness ratio diagrams of Haro 11 made with XMM-Newton and Chandra observations. The hardness ratios HR1 (top) and HR2 (bottom) as defined by Eqs. (1) are plotted against the background-subtracted S + M and M + H bands (in counts), respectively, with a bin size of 3.6 ks. The hardness ratios and the corresponding 1-σ uncertainties were determined from the light curves of the source and background using the Bayesian quadrature method of the BEHR. The counts of the later observations were scaled up according to the instrument effective areas with respect to the first one.
Current usage metrics show cumulative count of Article Views (full-text article views including HTML views, PDF and ePub downloads, according to the available data) and Abstracts Views on Vision4Press platform.
Data correspond to usage on the plateform after 2015. The current usage metrics is available 48-96 hours after online publication and is updated daily on week days.
Initial download of the metrics may take a while.