Fig. 10.

Download original image
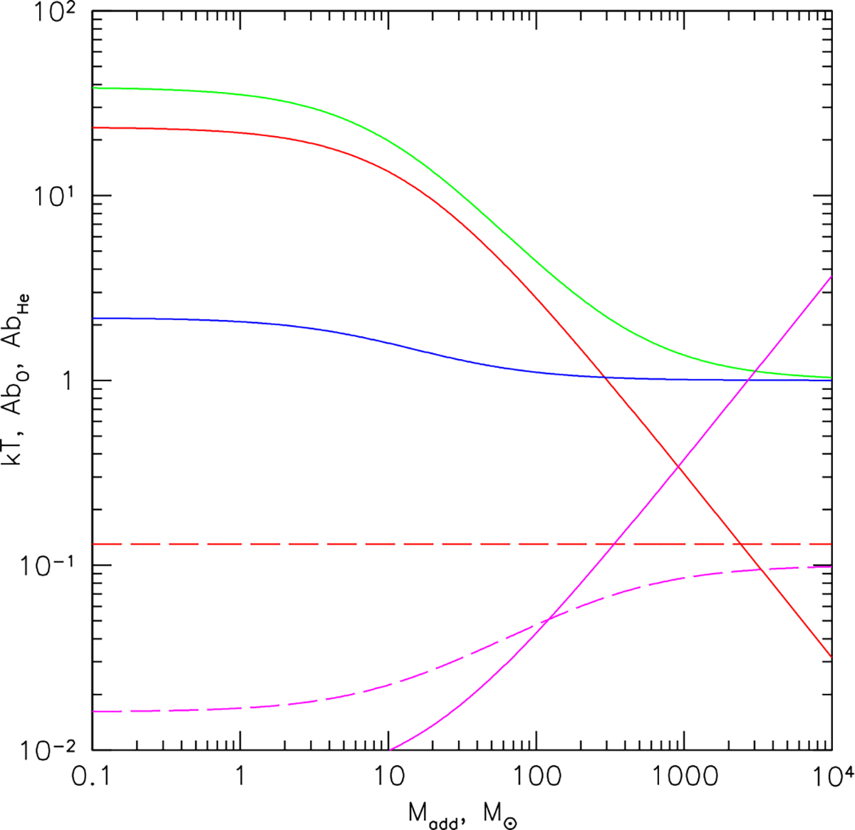
Dependence of the mean temperature (the solid red line) and He (blue) and O (green) abundances when ejecta are mixed with a given mass (Madd) of the ISM. For the temperature calculations, we assume that the initial energy, E = 1051 erg, goes entirely into the gas heating, which is fully ionized. For the abundance calculation, we assume solar abundances for the ISM and the 1B-M20 model for the ejecta. For comparison, the dashed horizontal line is the best-fitting temperature for a one-temperature APEC model. The intersection of the dashed and solid red lines suggests a large added mass of ∼2 − 3 × 103 M⊙. Similarly, the dashed magenta line shows the density derived from the normalization of the same model, taking into account the variable abundance of elements (focusing on O). The intersection of the dashed and solid magenta lines suggests a much smaller added mass of ∼102 M⊙. This discrepancy clearly demonstrates that the above set of assumptions (CIE, APEC spectral model, complete mixing of the ejecta and the gas inside the cavity, and Te = Ti) is likely violated.
Current usage metrics show cumulative count of Article Views (full-text article views including HTML views, PDF and ePub downloads, according to the available data) and Abstracts Views on Vision4Press platform.
Data correspond to usage on the plateform after 2015. The current usage metrics is available 48-96 hours after online publication and is updated daily on week days.
Initial download of the metrics may take a while.