Fig. 15.

Download original image
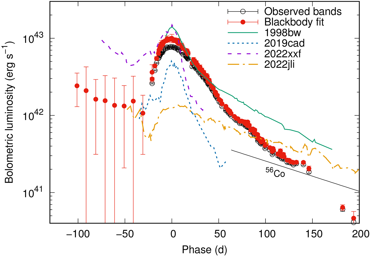
SuperBol (Nicholl 2018) pseudo-bolometric light curve of the second peak integrated over observed bands (black open circles), and a bolometric light curve based on blackbody fits (red filled circles), highly uncertain before the rebrightening. The difference is notable only around maximum light. The late-time decline is inconsistent with 56Co decay (solid black line). Pseudo-bolometric light curves of SNe 1998bw (Patat et al. 2001), 2019cad (Gutiérrez et al. 2021), 2022jli (Moore et al. 2023), and 2022xxf (Kuncarayakti et al. 2023) are included for comparison.
Current usage metrics show cumulative count of Article Views (full-text article views including HTML views, PDF and ePub downloads, according to the available data) and Abstracts Views on Vision4Press platform.
Data correspond to usage on the plateform after 2015. The current usage metrics is available 48-96 hours after online publication and is updated daily on week days.
Initial download of the metrics may take a while.