Fig. 16.

Download original image
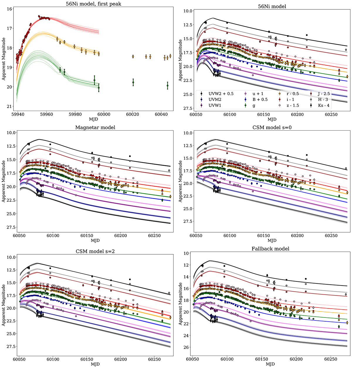
MOSFiT light curve fits to the first and second peak of SN 2023aew using the different models described in the text. The flat part of the light curve after MJD = 60000 was ignored in the first-peak fit, as the 56Ni model does not include such features. All models have trouble reproducing the simultaneity of the second peak in all optical bands, specifically failing to reproduce the u-band peak, but by eye and by MOSFiT score, the magnetar model provides the best fit.
Current usage metrics show cumulative count of Article Views (full-text article views including HTML views, PDF and ePub downloads, according to the available data) and Abstracts Views on Vision4Press platform.
Data correspond to usage on the plateform after 2015. The current usage metrics is available 48-96 hours after online publication and is updated daily on week days.
Initial download of the metrics may take a while.