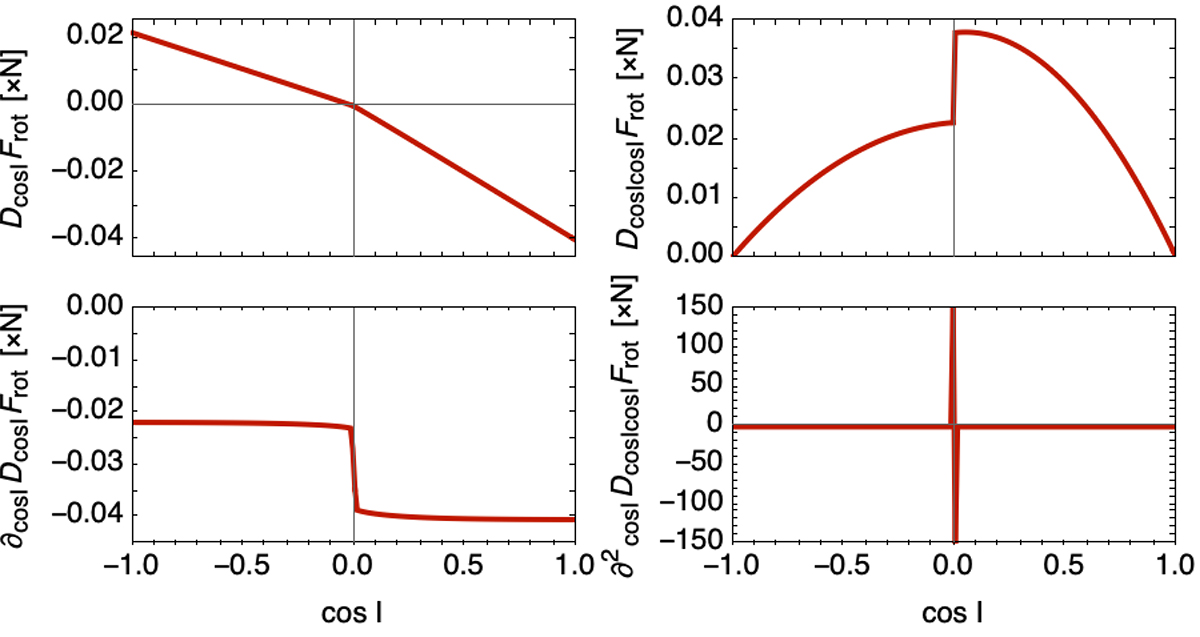
Fig. I.1.

Download original image
Representation for a Plummer cluster (q, α) = (0, 0.25) of the cos I terms, DcosIFrot (on the top left) and DcosIcosIFrot (on the top right), respectively with the first (on the bottom left) and second (on the bottom right) derivative with respect to cos I. In particular, the bottom right panel displays an approximate δ′(cos I) behaviour – the amplitude of the jumps tends to infinity as one reduces the step in the finite differentiation scheme – which is the expected theoretical relaxation induced by the sgn discontinuity of Frot at t = 0.
Current usage metrics show cumulative count of Article Views (full-text article views including HTML views, PDF and ePub downloads, according to the available data) and Abstracts Views on Vision4Press platform.
Data correspond to usage on the plateform after 2015. The current usage metrics is available 48-96 hours after online publication and is updated daily on week days.
Initial download of the metrics may take a while.