Fig. 4.

Download original image
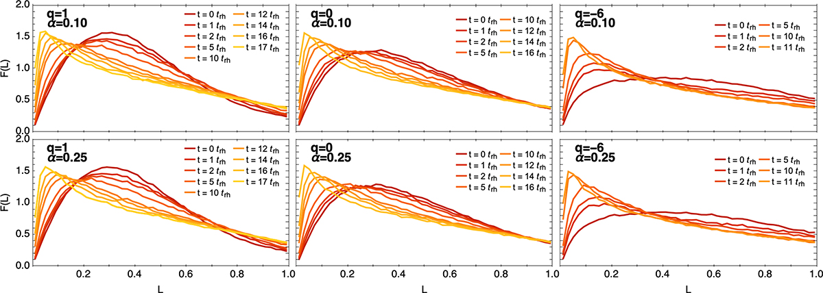
Evolution of the angular momentum DF, F(L), as measured in N-body simulations with N = 104, with trh defined in Equation (7). For each parameter, the latest time is close to the time of core collapse. Each panel is averaged over 50 realisations. Here, F(L) redistributes towards lower angular momenta, with details depending on the initial velocity anisotropy. Rotation does not impact strongly the in-plane relaxation.
Current usage metrics show cumulative count of Article Views (full-text article views including HTML views, PDF and ePub downloads, according to the available data) and Abstracts Views on Vision4Press platform.
Data correspond to usage on the plateform after 2015. The current usage metrics is available 48-96 hours after online publication and is updated daily on week days.
Initial download of the metrics may take a while.