Open Access
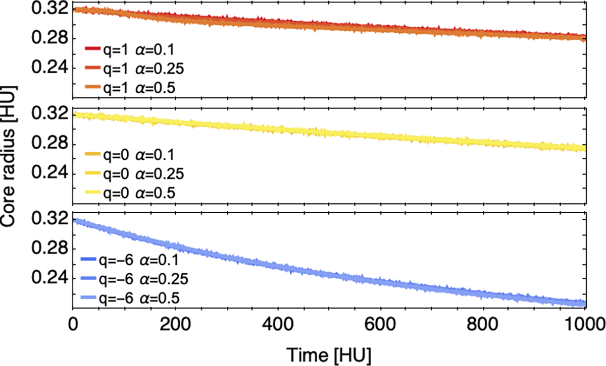
Fig. 6.

Download original image
Initial evolution of the core radius in clusters with N = 105 stars, as measured in N-body simulations. We use that same convention as in Fig. 2. Interestingly, in these stable clusters, rotation only weakly affects the core contraction.
Current usage metrics show cumulative count of Article Views (full-text article views including HTML views, PDF and ePub downloads, according to the available data) and Abstracts Views on Vision4Press platform.
Data correspond to usage on the plateform after 2015. The current usage metrics is available 48-96 hours after online publication and is updated daily on week days.
Initial download of the metrics may take a while.