Open Access

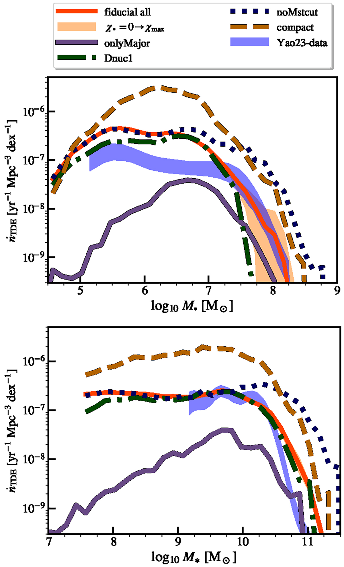
Fig. 10.

image

Download original image

Volumetric rates at z = 0 per black hole mass (top) and galaxy stellar mass (bottom) for different model variations (names of the models in legend as in text) compared with constraints from Yao et al. (2023, blue shaded area) and the fiducial model (red solid line). The orange shaded area was constructed by assuming no spin and maximally spinning MBHs in the post-processing treatment of the event horizon suppression of the fiducial model (orange solid line).

Current usage metrics show cumulative count of Article Views (full-text article views including HTML views, PDF and ePub downloads, according to the available data) and Abstracts Views on Vision4Press platform.

Data correspond to usage on the plateform after 2015. The current usage metrics is available 48-96 hours after online publication and is updated daily on week days.

Initial download of the metrics may take a while.