Fig. 1.

Download original image
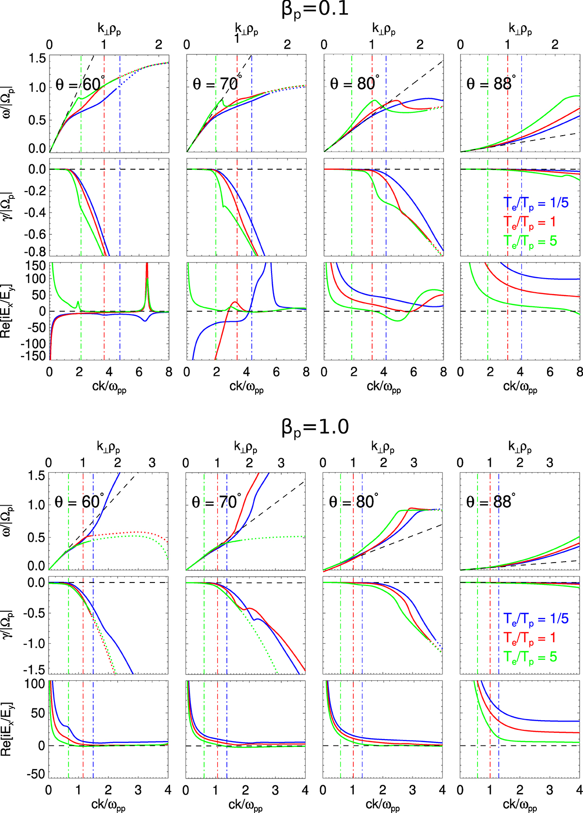
Real (ω) and imaginary (γ) frequency of the Alfvén wave and its transverse polarisation for different electron-to-proton temperature ratios, with βp = 0.1 (top) and βp = 1.0 (bottom). The dispersion relation is plotted with continuous lines for |γ|< |ω| and in dotted lines for |γ|> |ω|, indicating that the mode is strongly damped. Dash-dotted lines indicate k⊥ρ = 1 for the different configurations, and the segmented line in the real frequency panels corresponds to the MHD dispersion relation of the Alfvén wave.
Current usage metrics show cumulative count of Article Views (full-text article views including HTML views, PDF and ePub downloads, according to the available data) and Abstracts Views on Vision4Press platform.
Data correspond to usage on the plateform after 2015. The current usage metrics is available 48-96 hours after online publication and is updated daily on week days.
Initial download of the metrics may take a while.