Fig. 3.

Download original image
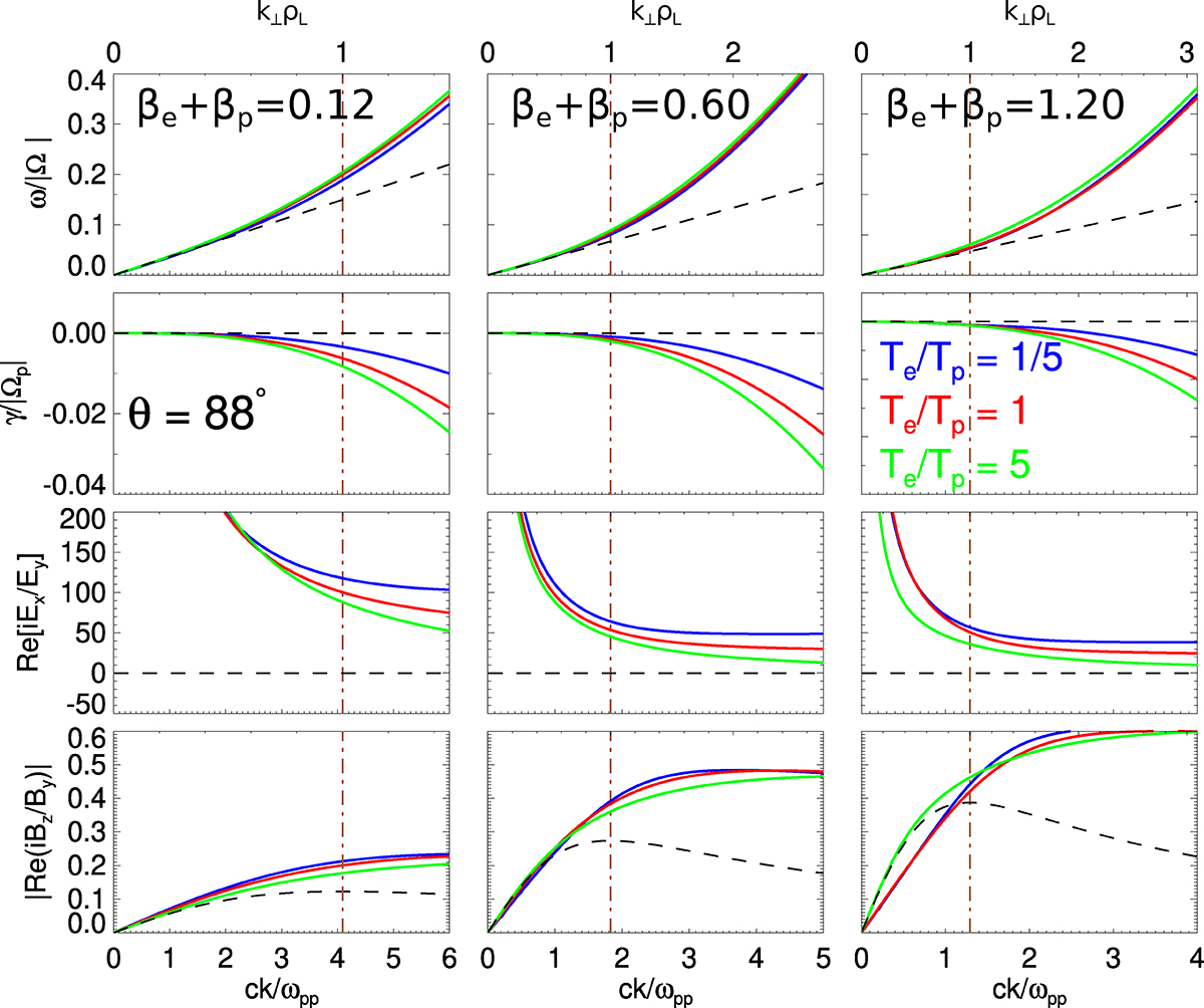
Real and imaginary frequency, transverse electrical polarisation, and magnetic polarisation of the Alfvén wave. The summed β of the plasma, β = βe + βp, was fixed at 0.12, 0.60, 1.20, and for each value of β different electron-to-proton temperature ratios were considered. Dash-dotted lines indicate k⊥ρL = 1 for the different values of βe + βp. The segmented line in the real frequency panels corresponds to the MHD dispersion relation of the Alfvén wave. In the two middle panels it indicates the line corresponding to zero, and in the bottom panel it represents the improved two-fluid approximation of this quantity given in Eq. (13b).
Current usage metrics show cumulative count of Article Views (full-text article views including HTML views, PDF and ePub downloads, according to the available data) and Abstracts Views on Vision4Press platform.
Data correspond to usage on the plateform after 2015. The current usage metrics is available 48-96 hours after online publication and is updated daily on week days.
Initial download of the metrics may take a while.