Open Access
Fig. 7.

Download original image
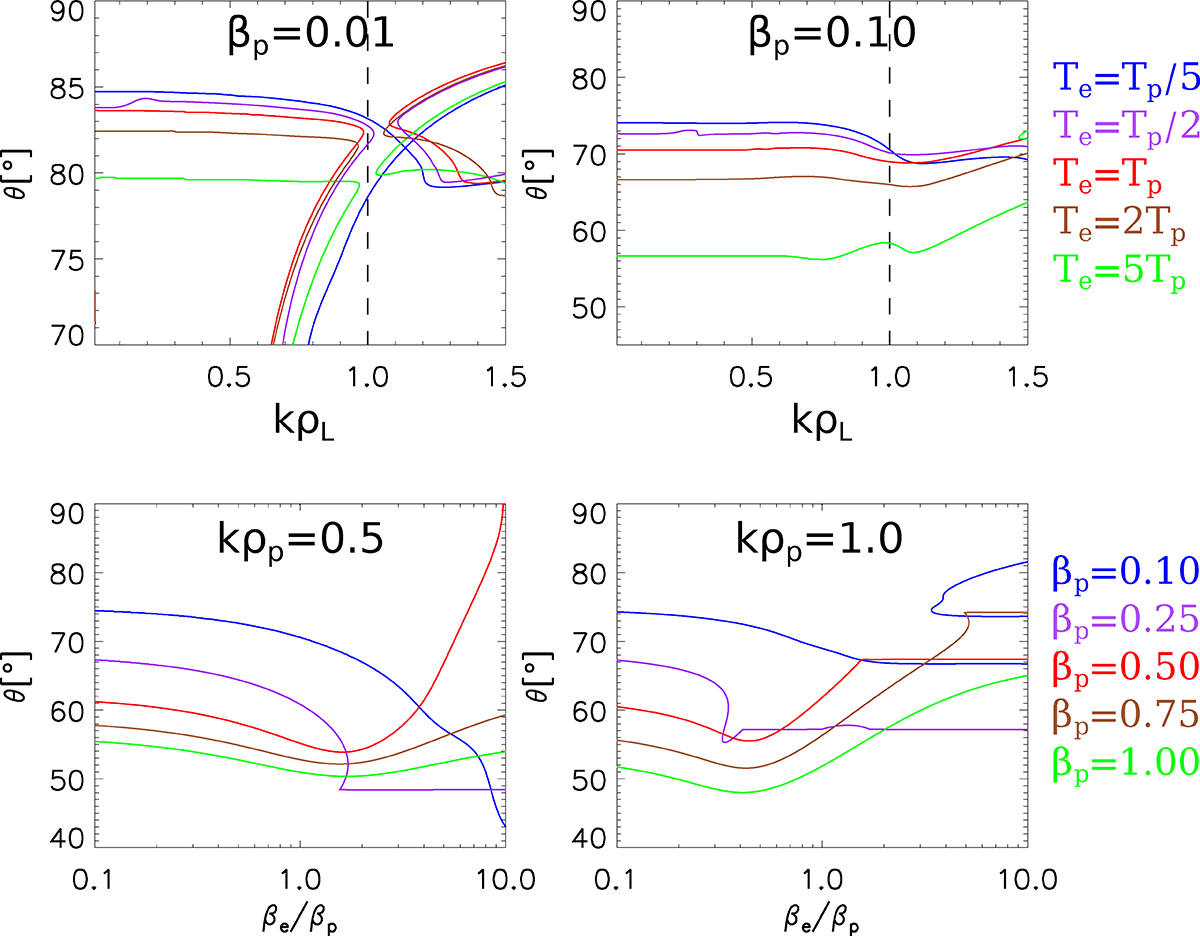
Contours of Re[iEx/Ey] = 0 for different electron-to-proton temperature ratios and βp as functions of the propagation angle and kρL in the top two panels, and for different combinations of the βp and kρp as functions of the propagation angle and the ratio βe/βp in the bottom two panels.
Current usage metrics show cumulative count of Article Views (full-text article views including HTML views, PDF and ePub downloads, according to the available data) and Abstracts Views on Vision4Press platform.
Data correspond to usage on the plateform after 2015. The current usage metrics is available 48-96 hours after online publication and is updated daily on week days.
Initial download of the metrics may take a while.