Fig. 6.

Download original image
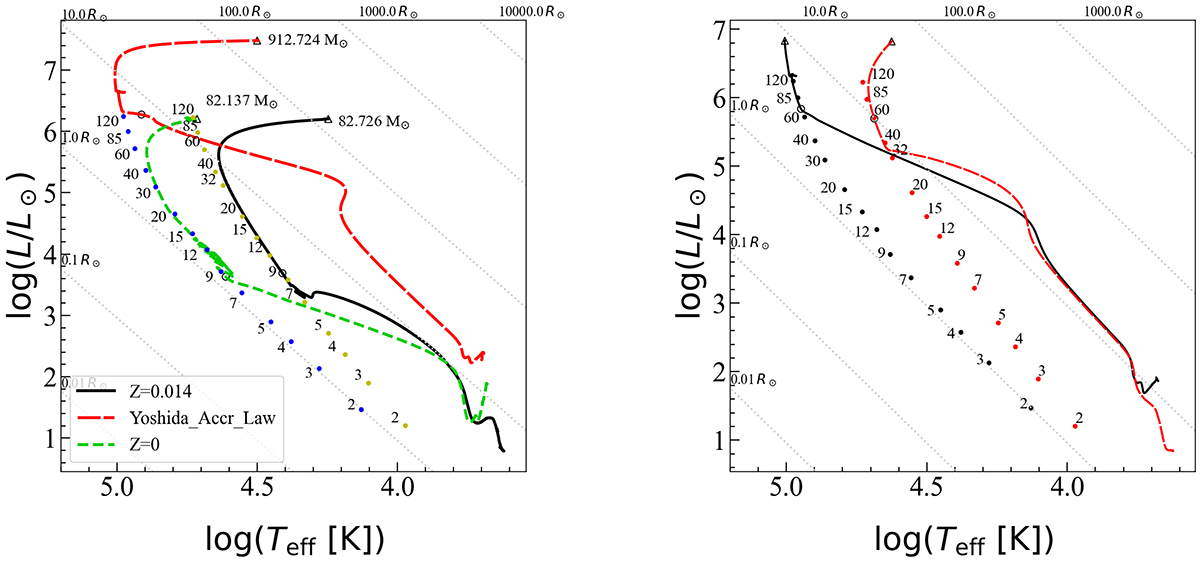
Birthlines for a few accretion rates and metallicities. Left: the dashed red line is for the variable accretion rate from a hydrodynamical simulation of a Pop III star by Yoshida et al. (2006). The solid black track is the 10−5 M⊙ yr−1 solar metallicity model. The short dashed green track is the 10−5 M⊙ yr−1 zero-metallicity model. The black circles and triangles mark the beginning and end of core hydrogen burning, respectively. Masses at the end of hydrogen burning are shown at the end of each track. The solid blue and yellow numbered dots and their masses (in M⊙) are non-accreting ZAMS stars at zero and solar metallicity from Murphy et al. (2021) and Ekström et al. (2012), respectively. The grey dotted lines are iso-radii for the indicated radii. Right: birthlines for Pop III (black) and solar metallicity (red) stars with a constant accretion rate of 10−3 M⊙ yr−1. The solid black and red numbered dots and their masses (in M⊙) are again the stars at zero and solar metallicity from Murphy et al. (2021) and Ekström et al. (2012), respectively, for comparison.
Current usage metrics show cumulative count of Article Views (full-text article views including HTML views, PDF and ePub downloads, according to the available data) and Abstracts Views on Vision4Press platform.
Data correspond to usage on the plateform after 2015. The current usage metrics is available 48-96 hours after online publication and is updated daily on week days.
Initial download of the metrics may take a while.