Fig. 1.

Download original image
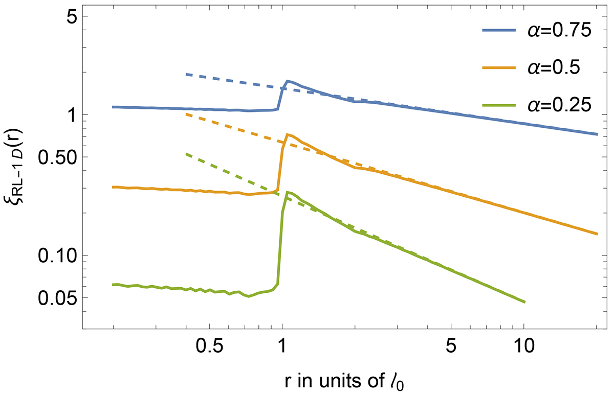
Two-point correlation function for the 1D Rayleigh-Levy flights (before smoothing). The predictions are for ℓ0 = 1. The solid lines are the exact shapes derived from Eq. (5) exhibiting a clear exclusion zone for r < ℓ0. The dashed is the large scale asymptotic form. it can be observed that the exact solution converges very rapidly to the asymptotic form.
Current usage metrics show cumulative count of Article Views (full-text article views including HTML views, PDF and ePub downloads, according to the available data) and Abstracts Views on Vision4Press platform.
Data correspond to usage on the plateform after 2015. The current usage metrics is available 48-96 hours after online publication and is updated daily on week days.
Initial download of the metrics may take a while.