Fig. 3.

Download original image
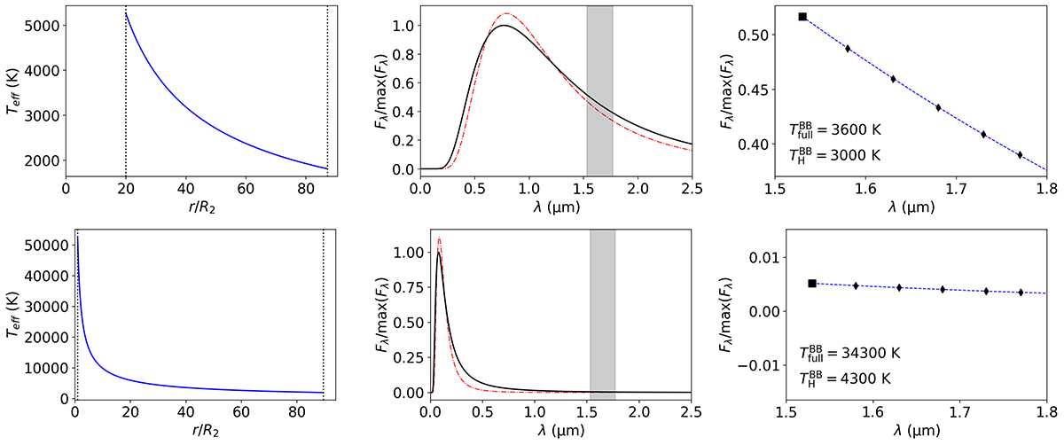
Example effective disc temperature profiles and spectra. Top: HP Lyr’s #MDW 3 model. Bottom: TW Cam’s #MDW 2 model. Left: Teff(r) profile (Eq. (2)). Dotted black lines indicate the disc boundaries. Middle: the model disc spectrum (Eq. (3)), normalised to the peak flux, shown as a black line. A scaled blackbody fitted to the whole spectrum is drawn as a red dot-dashed line. The H band location is shown in gray. Right: zoom-in of the spectrum in H band. The values at the six PIONIER wavelength channels are shown as black symbols. The blue dashed line shows a scaled blackbody fitted to these points only. Fitted blackbody temperatures for the full spectrum () and H band only (
) are shown.
Current usage metrics show cumulative count of Article Views (full-text article views including HTML views, PDF and ePub downloads, according to the available data) and Abstracts Views on Vision4Press platform.
Data correspond to usage on the plateform after 2015. The current usage metrics is available 48-96 hours after online publication and is updated daily on week days.
Initial download of the metrics may take a while.