Open Access

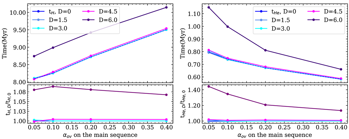
Fig. 1.

image

Download original image

Duration of core hydrogen burning (tH, left panel) and core helium burning (tHe, right panel) as a function of αov. To highlight the differences, the bottom panels show the ratio between models without additional envelope mixing (reference, in blue) and the other models with the same αov on the main sequence.

Current usage metrics show cumulative count of Article Views (full-text article views including HTML views, PDF and ePub downloads, according to the available data) and Abstracts Views on Vision4Press platform.

Data correspond to usage on the plateform after 2015. The current usage metrics is available 48-96 hours after online publication and is updated daily on week days.

Initial download of the metrics may take a while.