Open Access
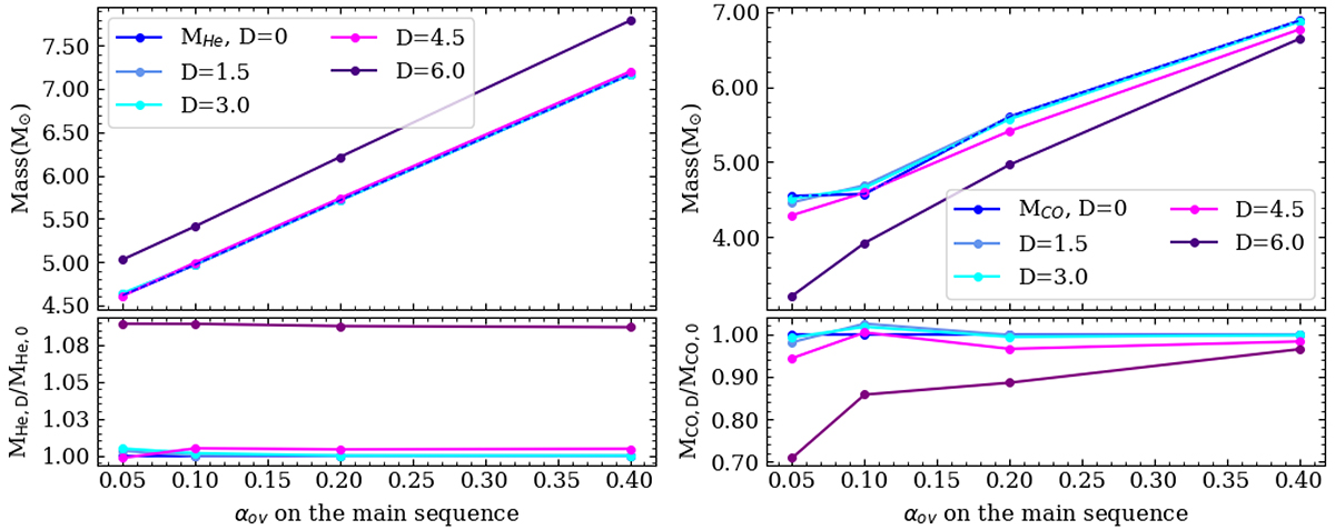
Fig. 3.

Download original image
Mass of the stellar cores at the end of hydrogen burning (left panel) and helium burning (right panel) as a function of the overshoot parameter. The lower panels show the ratio between the models with no extra envelope mixing and the other models with the overshoot parameter.
Current usage metrics show cumulative count of Article Views (full-text article views including HTML views, PDF and ePub downloads, according to the available data) and Abstracts Views on Vision4Press platform.
Data correspond to usage on the plateform after 2015. The current usage metrics is available 48-96 hours after online publication and is updated daily on week days.
Initial download of the metrics may take a while.