Fig. 5.

Download original image
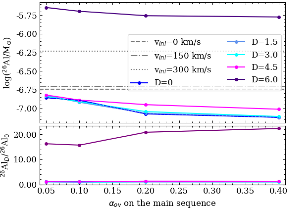
Yields for 26Al for the different values of αov and log(Denv/cm2 s−1) (solid lines) in the upper panel. The horizontal lines indicate the yields of 20 M⊙ models with different rotational velocities (0, 150, and 300 km/s, from Brinkman et al. 2021), the dashed, dashed-dotted, and dotted lines, respectively. The lower panel shows the ratio between the yield of the reference models (log(Denv/cm2 s−1) = 0) and the models with the other values for log(Denv/cm2 s−1).
Current usage metrics show cumulative count of Article Views (full-text article views including HTML views, PDF and ePub downloads, according to the available data) and Abstracts Views on Vision4Press platform.
Data correspond to usage on the plateform after 2015. The current usage metrics is available 48-96 hours after online publication and is updated daily on week days.
Initial download of the metrics may take a while.