Open Access

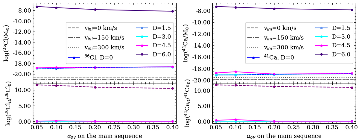
Fig. 7.

image

Download original image

Same as Fig. 5, but for 36Cl (left) and 41Ca (right). The lower panels show the ratio between the yield of the reference models (log(Denv/cm2 s−1) = 0) and the models with the other values for log(Denv/cm2 s−1). Mind that unlike in Fig. 5, here the y-scale for the ratio is in log.

Current usage metrics show cumulative count of Article Views (full-text article views including HTML views, PDF and ePub downloads, according to the available data) and Abstracts Views on Vision4Press platform.

Data correspond to usage on the plateform after 2015. The current usage metrics is available 48-96 hours after online publication and is updated daily on week days.

Initial download of the metrics may take a while.