Fig. 4

Download original image
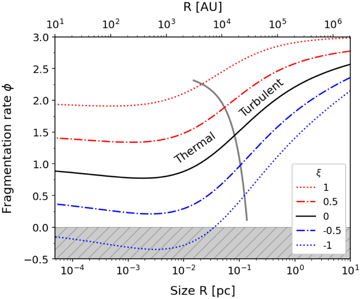
Fragmentation rate ϕ as a function of spatial scale R for isothermal EOS and different values of mass transfer rate ξ with cloud initial size R0 = 10 pc and initial density ρ0 = 10−21 g/cm3. The hatched area represents the ϕ ⩽ 0 space in which there is no hierarchical fragmentation. The grey vertical line separates turbulent (supersonic) fragmentation from thermal (subsonic) fragmentation.
Current usage metrics show cumulative count of Article Views (full-text article views including HTML views, PDF and ePub downloads, according to the available data) and Abstracts Views on Vision4Press platform.
Data correspond to usage on the plateform after 2015. The current usage metrics is available 48-96 hours after online publication and is updated daily on week days.
Initial download of the metrics may take a while.