Open Access
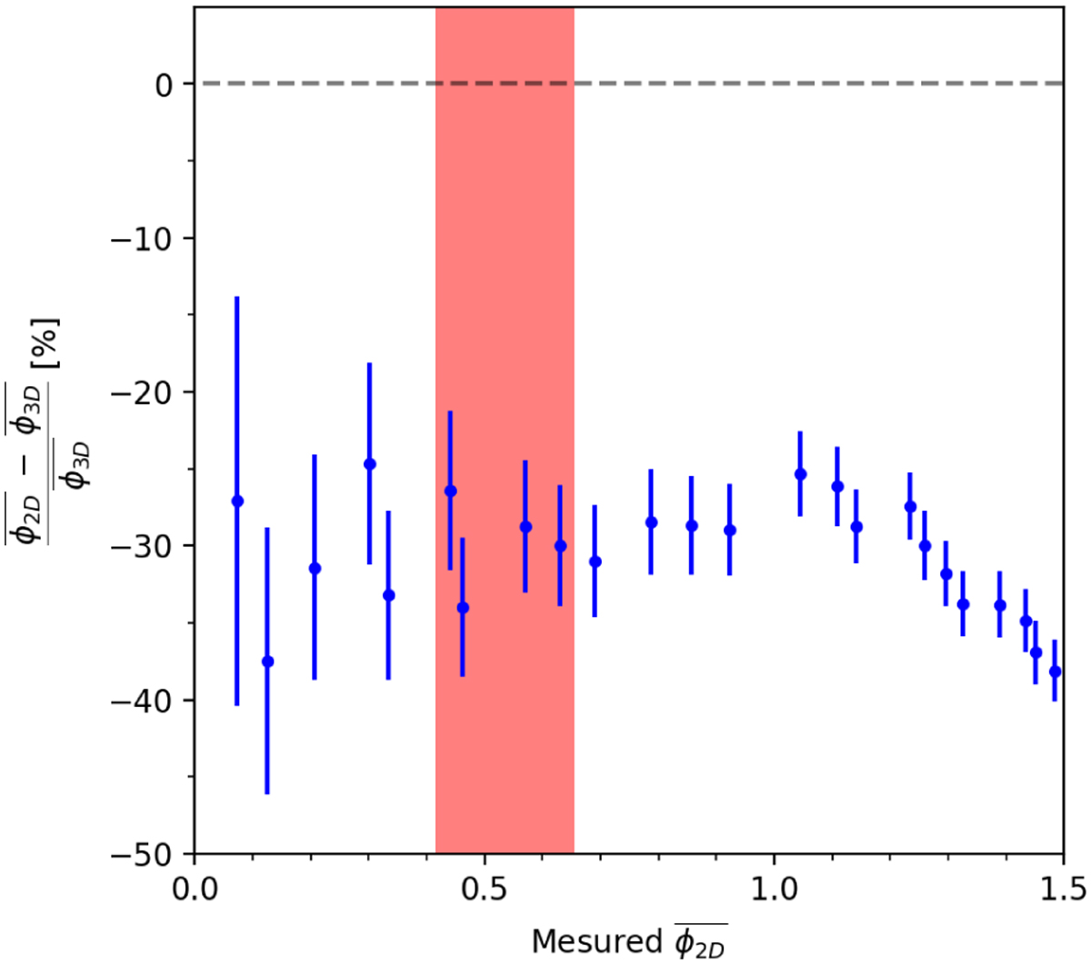
Fig. 9

Download original image
Relative error caused on the fragmentation rate by the projection of 3D ellipsoidal fragments onto a 2D plane. The 2D fragmentation rate (red area) is associated with a relative error ~−30% ± 10 with the 3D fragmentation rate
. The dashed grey line indicates a 0% error.
Current usage metrics show cumulative count of Article Views (full-text article views including HTML views, PDF and ePub downloads, according to the available data) and Abstracts Views on Vision4Press platform.
Data correspond to usage on the plateform after 2015. The current usage metrics is available 48-96 hours after online publication and is updated daily on week days.
Initial download of the metrics may take a while.