Open Access
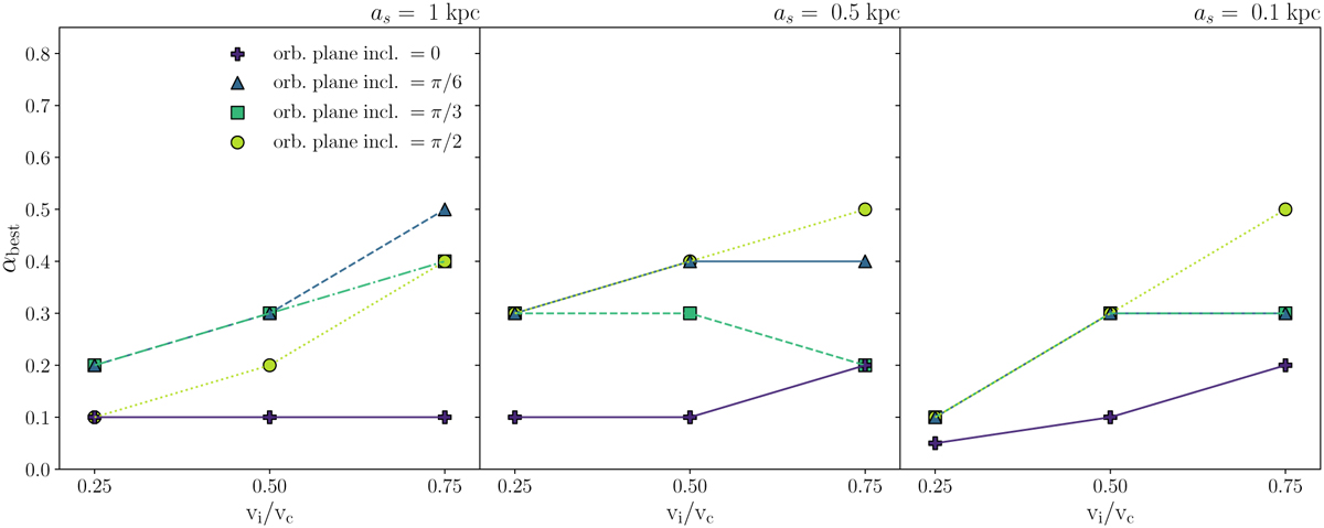
Fig. 3

Download original image
Optimal values of the α parameter for each model without DF as a function of the initial orbital velocity (or initial eccentricity). Each panel considers a system with fixed satellite scale radius as, decreasing from left to right, with varying line styles and colour codes indicating different orbital inclinations.
Current usage metrics show cumulative count of Article Views (full-text article views including HTML views, PDF and ePub downloads, according to the available data) and Abstracts Views on Vision4Press platform.
Data correspond to usage on the plateform after 2015. The current usage metrics is available 48-96 hours after online publication and is updated daily on week days.
Initial download of the metrics may take a while.