Open Access

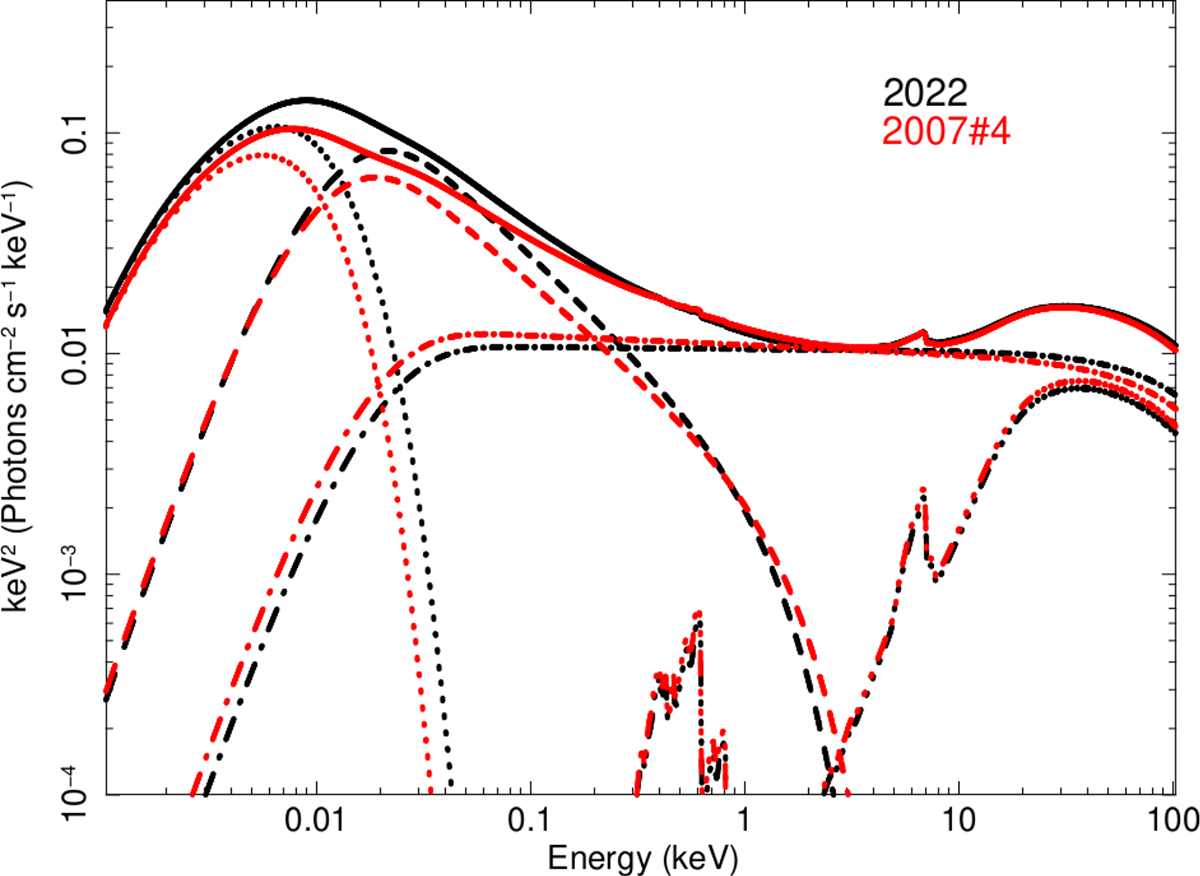
Fig. C.1.

image

Download original image

Intrinsic SED of ESO 141-G55 inferred from the RELAGN+REFLKERRD baseline model for the 2007#4 XMM-Newton observation (red). The best-fit parameter values are reported in Table C.1. For comparison, the 2022 intrinsic SED is also displayed (black). These intrinsic SEDs are corrected for both reddening and Galactic absorption (solid curves). The main individual emission components are displayed: outer disc (dotted curves), warm optically thick Comptonisation (dashed curves; warm corona), hot optically thin Comptonisation (dotted-dashed curves; hot corona), and relativistic reflection (three-dotted-dashed curves).

Current usage metrics show cumulative count of Article Views (full-text article views including HTML views, PDF and ePub downloads, according to the available data) and Abstracts Views on Vision4Press platform.

Data correspond to usage on the plateform after 2015. The current usage metrics is available 48-96 hours after online publication and is updated daily on week days.

Initial download of the metrics may take a while.