Fig. 11

Download original image
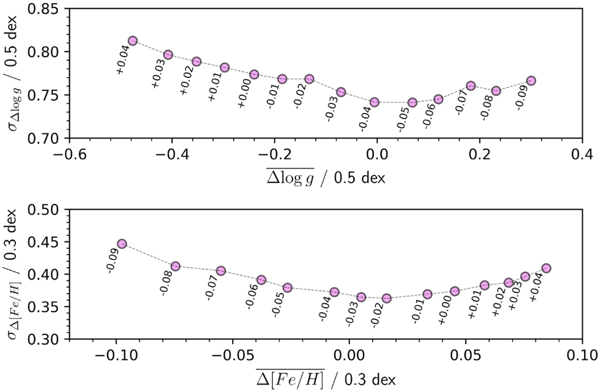
Standard deviation versus offset (both normalized by their respective step in the model grid) of the difference between the fitted atmospheric parameters in each case (with u′ = u + δu) and the ones fitted when substituting the u-band for u from SDSS. The top panel shows the effects on log ɡ and the lower panel on [Fe/H]. Each point represents a different δu value, indicated on the corresponding label. A value of −0.04 mags is an appropriate correction for u that would put the parameters closer to those fitted using SDSS.
Current usage metrics show cumulative count of Article Views (full-text article views including HTML views, PDF and ePub downloads, according to the available data) and Abstracts Views on Vision4Press platform.
Data correspond to usage on the plateform after 2015. The current usage metrics is available 48-96 hours after online publication and is updated daily on week days.
Initial download of the metrics may take a while.