Fig. 5

Download original image
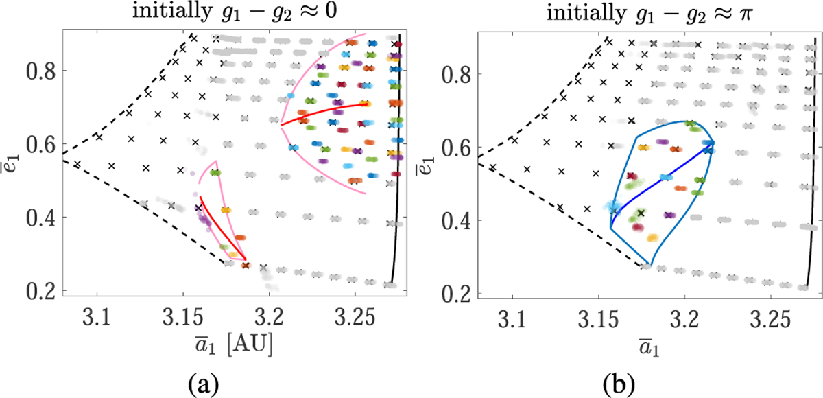
Pseudo-proper elements (dots) of orbits inside the J2:1 commen-surability obtained by the SWIFT package. The black crosses mark their initial conditions with 𝑔1 – 𝑔2 ≈ 0 (𝑔1 – 𝑔2 = π) in the left (right) frame. The section Q2 ≈ 0 (Q2 ≈ π) in Eq. (23) is used to record the pseudo-proper elements of each orbit in frame a (frame b). The colored (gray) dots mark the pseudo-proper elements of orbits trapped (not trapped) in the v5 libration domain.
Current usage metrics show cumulative count of Article Views (full-text article views including HTML views, PDF and ePub downloads, according to the available data) and Abstracts Views on Vision4Press platform.
Data correspond to usage on the plateform after 2015. The current usage metrics is available 48-96 hours after online publication and is updated daily on week days.
Initial download of the metrics may take a while.