Fig. 3

Download original image
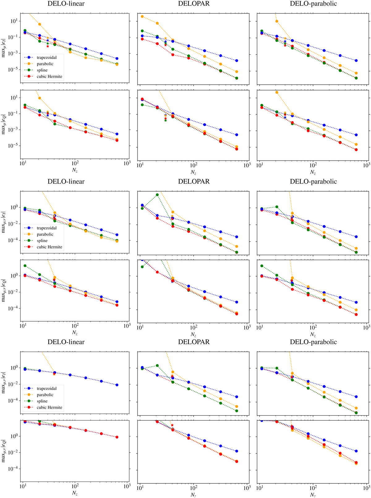
Relative error in the emergent Stokes I (first, third, and fifth rows) and Stokes Q (second, fourth, and sixth rows) as a function of the number of spatial grid points Nz, for the DELO-linear (left), DELOPAR (center), and DELO-parabolic (right) formal solvers combined with the trapezoidal, parabolic, spline and cubic Hermite optical depth conversion schemes in the absence of magnetic fields. The corresponding convergence rates kX are reported in Table 2. The considered settings are: continuum (first and second rows), Sr I 4607 (third and fourth rows), and Ca I 4227 (fifth and sixth rows). The reference profiles are obtained with the cubic Hermite conversion scheme and DELO-parabolic, using Nz = 2561. The stars represent the relative error Eq. (17) obtained using the original domain extracted from the FAL-C atmospheric model.
Current usage metrics show cumulative count of Article Views (full-text article views including HTML views, PDF and ePub downloads, according to the available data) and Abstracts Views on Vision4Press platform.
Data correspond to usage on the plateform after 2015. The current usage metrics is available 48-96 hours after online publication and is updated daily on week days.
Initial download of the metrics may take a while.