Fig. B.1

Download original image
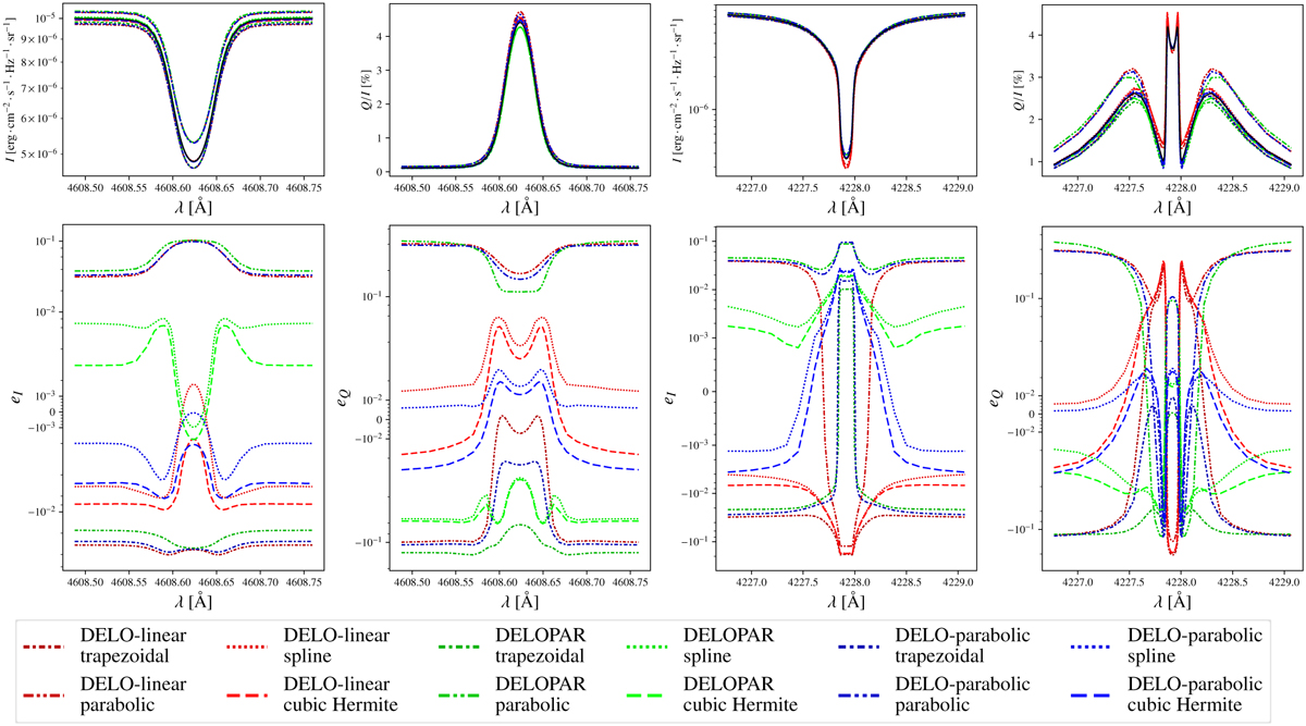
Emergent I and Q/I proflies at µ = 0.1 as a function of wavelength (top row) for the Sr I 4607 Å (first and second columns) and Ca I 4227 Å (third and fourth columns) lines (in the absence of magnetic fields), modeled considering Nz = 41 and all 12 combinations of 3 formal solvers, namely DELO-linear (red), DELOPAR (green), and DELOPARABOLIC (blue), and 4 optical depth conversion schemes, namely trapezoidal (dot-dashed), parabolic (dot-dot-dashed), spline (dotted), and cubic Hermite (dashed). The reference solution (black solid line) is obtained with the cubic Hermite conversion, the DELO-parabolic formal solver, and Nz = 2561. The bottom row shows the corresponding relative errors as a function of wavelength.
Current usage metrics show cumulative count of Article Views (full-text article views including HTML views, PDF and ePub downloads, according to the available data) and Abstracts Views on Vision4Press platform.
Data correspond to usage on the plateform after 2015. The current usage metrics is available 48-96 hours after online publication and is updated daily on week days.
Initial download of the metrics may take a while.