Fig. 10

Download original image
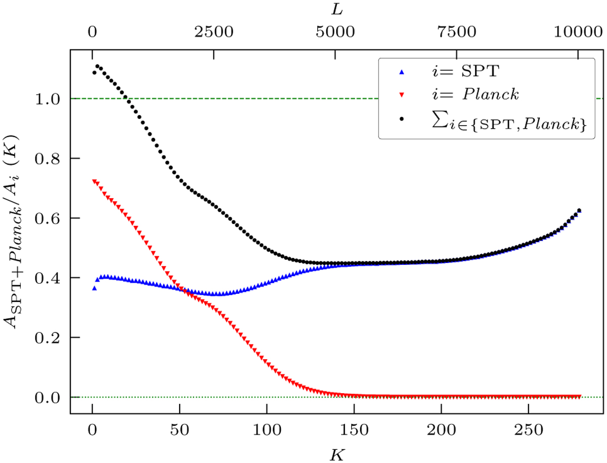
Comparison of the variance A(K) of the lensing profile reconstructed for SPT-SZ and Planck binned in K = |k′ − k| (or equivalently L = |l′ − l|). The figure displays the ratios between the combined ASPT+Planck(K) and the single datasets Ai(K), and the sum of both ratios. It shows that the Planck dataset provides the lowest error on the lensing potential at large scales (K < 50.9 or L < 1830), while the SPT-SZ dataset performs better at small scales (K > 145.0 or L > 5208). The sum is the product between the combined ASPT+Planck term and the inverse variance sum l/ASPT + 1/APlanck- It is below unity for K > 18.9 or L > 680 demonstrating the significant gain of the combination with respect to individual measurements.
Current usage metrics show cumulative count of Article Views (full-text article views including HTML views, PDF and ePub downloads, according to the available data) and Abstracts Views on Vision4Press platform.
Data correspond to usage on the plateform after 2015. The current usage metrics is available 48-96 hours after online publication and is updated daily on week days.
Initial download of the metrics may take a while.