Fig. A.1

Download original image
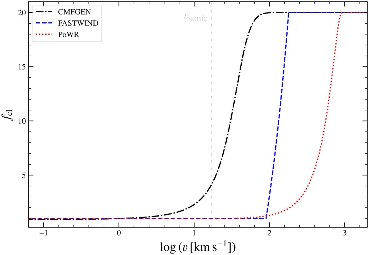
Comparison of the different radial behaviors of the clumping factor fcl = D, assuming optically thin clumping and input values used for the analysis of Sk-66° 171. To focus on the clumping stratification, all curves assume the same maximum clumping factor (fcl = 20) and the same underlying velocity field (v∞ = 1800 km s−1 ).
Current usage metrics show cumulative count of Article Views (full-text article views including HTML views, PDF and ePub downloads, according to the available data) and Abstracts Views on Vision4Press platform.
Data correspond to usage on the plateform after 2015. The current usage metrics is available 48-96 hours after online publication and is updated daily on week days.
Initial download of the metrics may take a while.