Open Access
Fig. 4.

Download original image
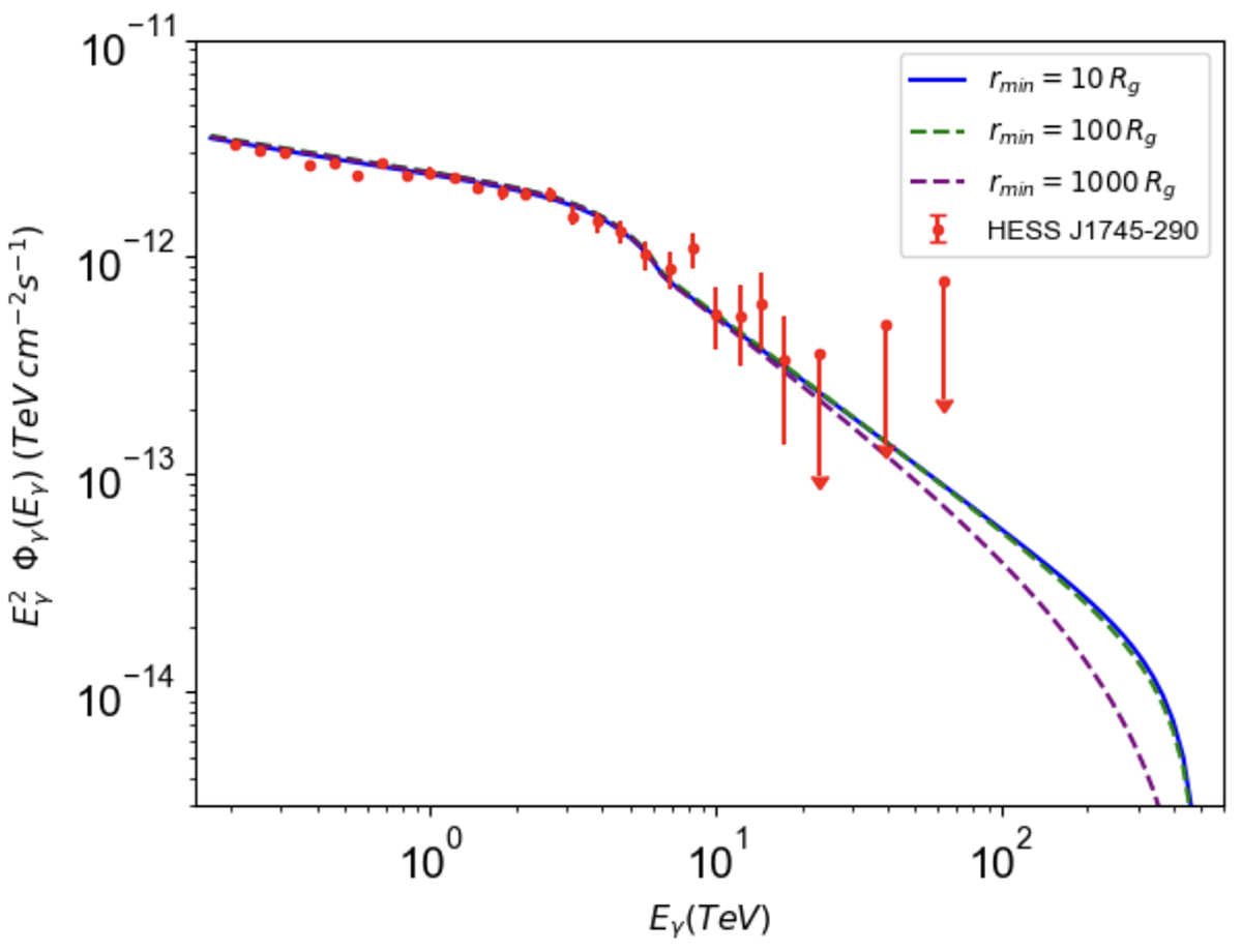
Gamma-ray spectra for Case 2 of Table 1 for different minimum radii rmin from which the gamma-ray emission is integrated (see Eq. (28)). The red dots correspond to the H.E.S.S. measurements of the source HESS J1745−290 (HESS Collaboration 2016).
Current usage metrics show cumulative count of Article Views (full-text article views including HTML views, PDF and ePub downloads, according to the available data) and Abstracts Views on Vision4Press platform.
Data correspond to usage on the plateform after 2015. The current usage metrics is available 48-96 hours after online publication and is updated daily on week days.
Initial download of the metrics may take a while.