Fig. 5.

Download original image
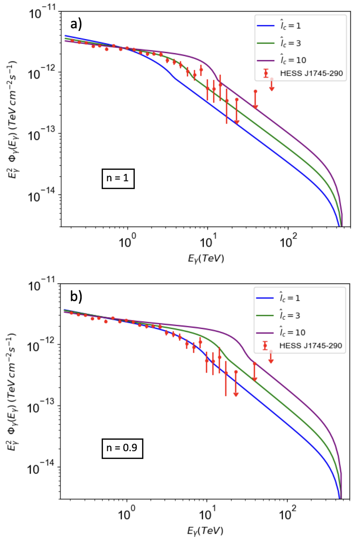
Gamma-ray spectrum for different choices of the parameters n and . Panel a: Cases 1 to 3 of Table 1, all with n = 1. Panel b: Cases 4 to 6 (excluding Case 4b), with n = 0.9. The three curves on each panel correspond to different values of
, with
chosen so as to produce the same flux at Eγ = 1 TeV for all cases. The red dots are obtained from HESS Collaboration (2016).
Current usage metrics show cumulative count of Article Views (full-text article views including HTML views, PDF and ePub downloads, according to the available data) and Abstracts Views on Vision4Press platform.
Data correspond to usage on the plateform after 2015. The current usage metrics is available 48-96 hours after online publication and is updated daily on week days.
Initial download of the metrics may take a while.