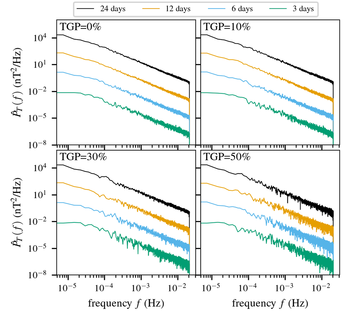
Fig. 6.

Download original image
Consistency test for our PSD estimator. In contrast to prior figures, the colors indicate the length of the subinterval. Gaps have been added using the MLG method with TGPs as indicated in the top left corner of each graph. The variance of each PSD clearly decreases as the length of the subinterval increases. All PSDs have been artificially offset vertically.
Current usage metrics show cumulative count of Article Views (full-text article views including HTML views, PDF and ePub downloads, according to the available data) and Abstracts Views on Vision4Press platform.
Data correspond to usage on the plateform after 2015. The current usage metrics is available 48-96 hours after online publication and is updated daily on week days.
Initial download of the metrics may take a while.