Open Access
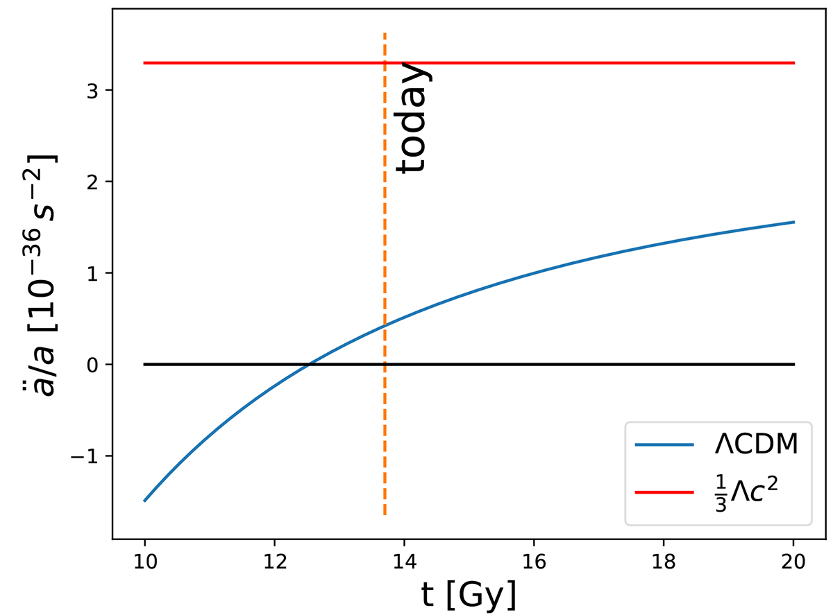
Fig. 1.

Download original image
Ratio between ä/a and Λc2/3 vs. time assuming the ΛCDM model. Asymptotically, both models approach the same value. For the ä/a case, the expansion rate of the Universe creates an attractive force at early times and only becomes repulsive at late times.
Current usage metrics show cumulative count of Article Views (full-text article views including HTML views, PDF and ePub downloads, according to the available data) and Abstracts Views on Vision4Press platform.
Data correspond to usage on the plateform after 2015. The current usage metrics is available 48-96 hours after online publication and is updated daily on week days.
Initial download of the metrics may take a while.