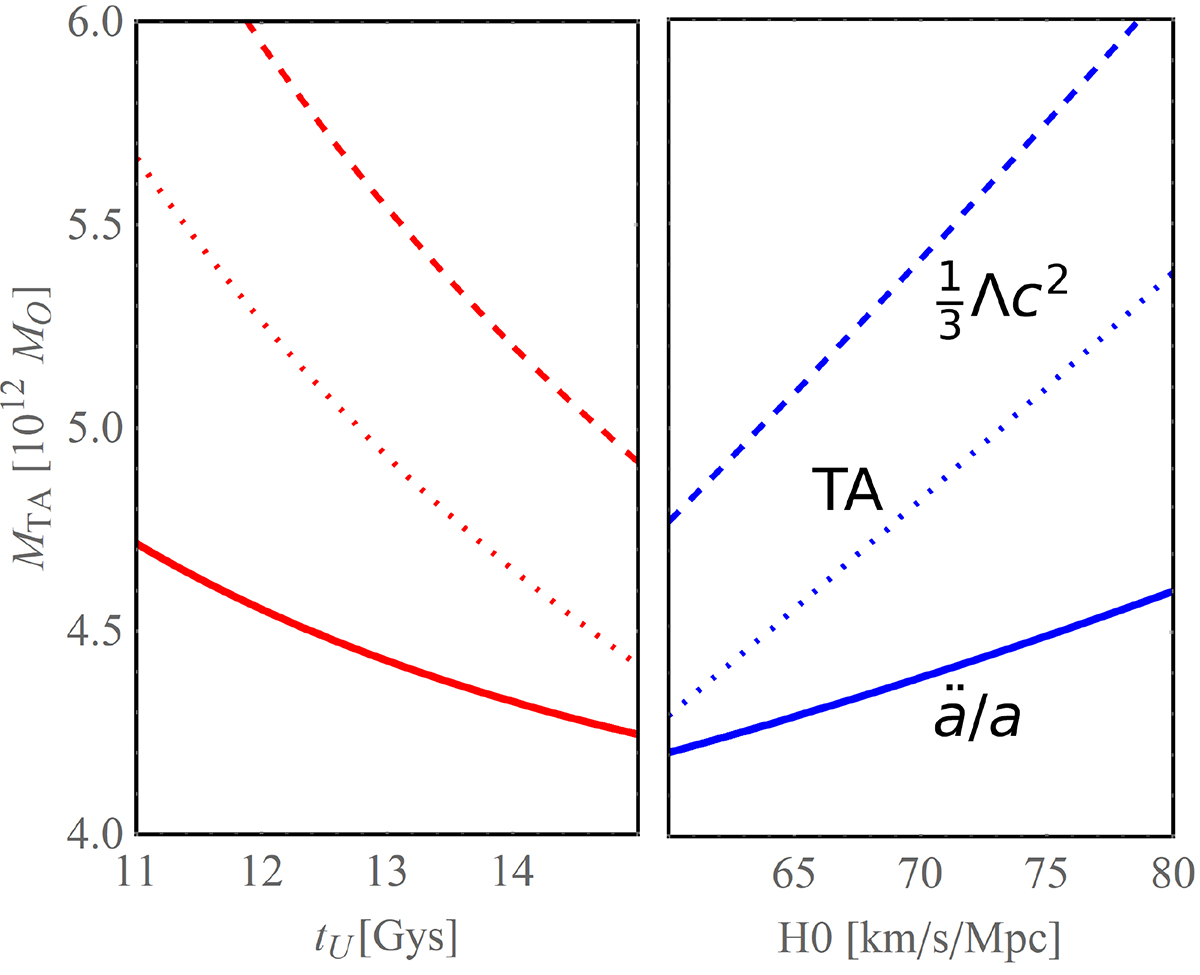
Fig. 3.

Download original image
Dependence between the predicted TA mass vs the age of the Universe (left) and vs the value of the Hubble parameter H0 (right), with the mean values of the separation and the radial velocity. For larger Universe ages, the predicted TA mass is lower and for larger H0 the TA mass is higher. The TA + Λ mass is always the highest and the TA + ä/a mass is the lowest one for any H0.
Current usage metrics show cumulative count of Article Views (full-text article views including HTML views, PDF and ePub downloads, according to the available data) and Abstracts Views on Vision4Press platform.
Data correspond to usage on the plateform after 2015. The current usage metrics is available 48-96 hours after online publication and is updated daily on week days.
Initial download of the metrics may take a while.