Fig. C.1.

Download original image
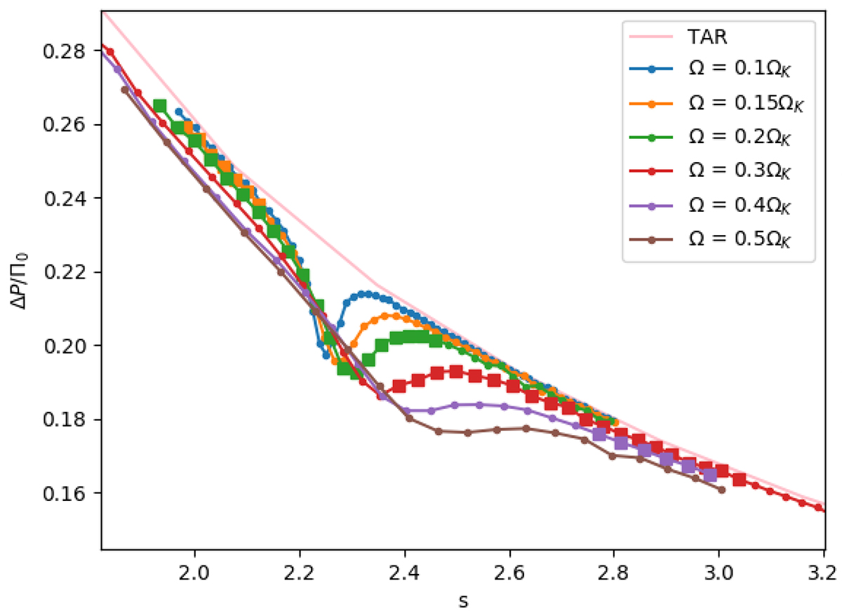
Period spacing in the co-rotating frame as a function of the spin parameter for the modes of the series (ℓ = 1, m = 0) at different rotation rates using the 1z model. The period spacing is normalised by the buoyancy radius Π0. The pink line shows the traditional approximation of rotation. Modes that are observable are marked with a square-shaped dot (Li et al. 2020).
Current usage metrics show cumulative count of Article Views (full-text article views including HTML views, PDF and ePub downloads, according to the available data) and Abstracts Views on Vision4Press platform.
Data correspond to usage on the plateform after 2015. The current usage metrics is available 48-96 hours after online publication and is updated daily on week days.
Initial download of the metrics may take a while.