Fig. 3.

Download original image
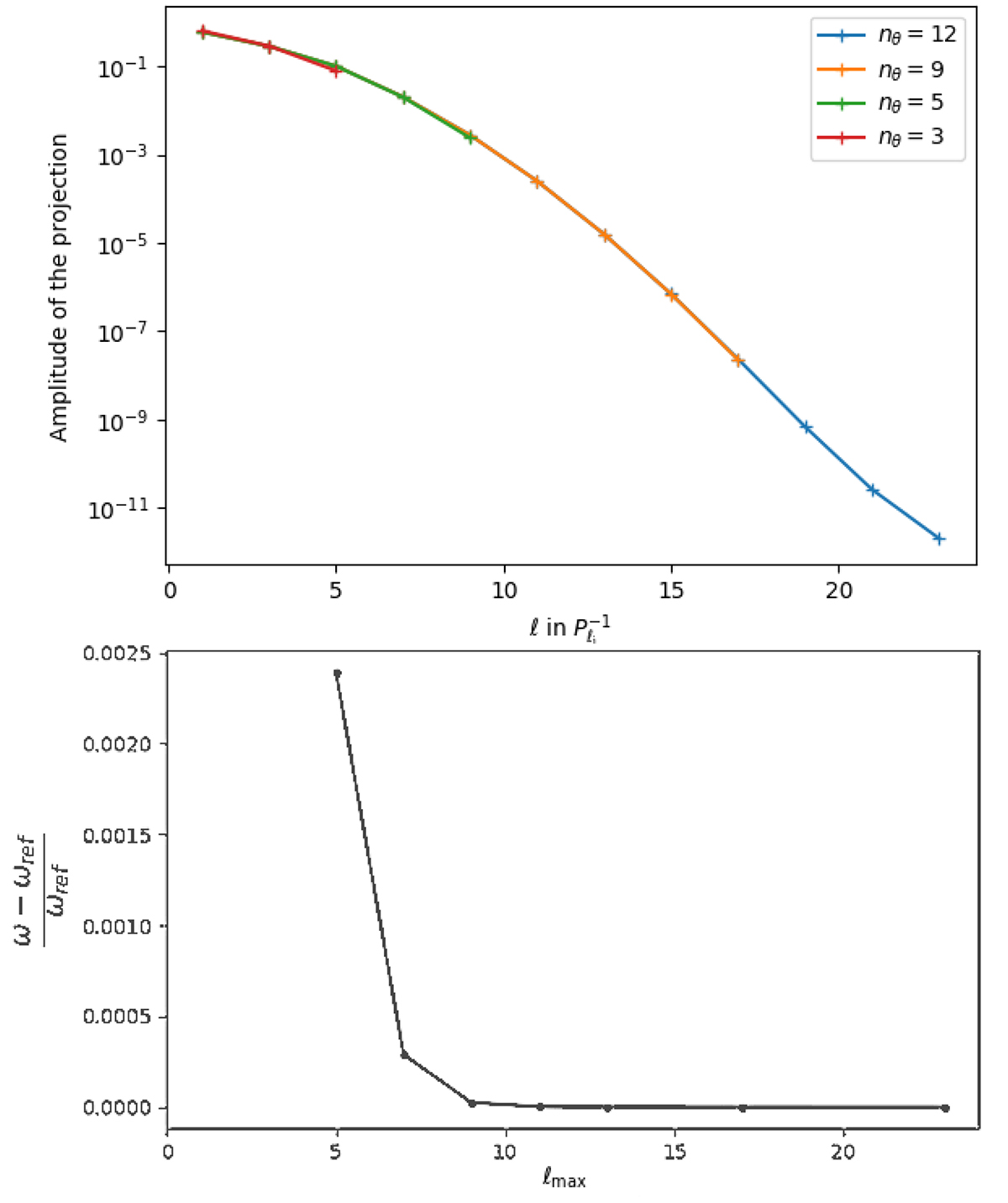
Effect of the latitudinal resolution on the mode n = 66 (s ∼ 16.4) of the series (ℓ = 1, m = −1). Upper panel: Projections of the mean latitudinal profile in the radiative zone of this mode at different latitudinal resolution nθ on the associated Legendre polynomials for a rotation rate Ω = 0.4ΩK. Here, is the critical rotation rate of the star and M and R are its mass and radius, respectively. Lower panel: Evolution of the relative frequency of the same mode as a function of ℓmax. The reference frequency ωref corresponds to the frequency obtained using the highest latitudinal resolution (nθ = 12). The model used is 1z.
Current usage metrics show cumulative count of Article Views (full-text article views including HTML views, PDF and ePub downloads, according to the available data) and Abstracts Views on Vision4Press platform.
Data correspond to usage on the plateform after 2015. The current usage metrics is available 48-96 hours after online publication and is updated daily on week days.
Initial download of the metrics may take a while.